Contoh Integral Trigonometri. Integral bisa dioperasikan denga fungsi trigonometri. Kalaupun bisa prosesnya akan panjang dan memakan waktu yang tidak sebentar. Integral juga mampu dioperasikan pada fungsi trigonometri. Oleh sebab itu, jika gradien garis singgungnya sudah diketahui jadi persamaan kurvanya bisa ditentukan dengan cara berikut.
Contoh Soal Integral Trigonometri Parsial Jejak Pelajar From jejakpelajarsekolah.blogspot.com
Bentuk soal integral trigonometri yang diselesaikan dengan metode integral parsial. By agcmyid posted on december 6, 2021. Sobat akan lebih mudah memahami integral trigonometri, jika sebelumnya telah belajar mengenai turunan trigonometri. $ \int \sin (2x + 3) dx $ b). 40+ contoh soal integral tentu trigonometri. 12+ contoh soal integral substitusi trigonometri.
Setiap soal integral trigonometri d.
Sebagai contoh, integral parsial akan sangat berfungsi dengan baik. Dapatkan pelajaran, soal & rumus integral trigonometri lengkap di wardaya college. Integral ditemukan menyusul ditemukannya masalah dalam differensiasi dimana matemetikawan harus berfikir bagaimana rumus integral tentu. Soal dan pembahasan teknik substitusi trigonometri pada integral integral yang melibatkan substitusi trigonometri biasanya integrannya memuat ekspresi seperti sqrt a 2 x 2 sqrt a 2 x 2 atau sqrt x 2 a 2. =∫ (cos 2 x) 2 dx. Integral bentuk aljabar trigonometri menggunakan cara substitusi maupun parsial diambil dari buku matematika gulam halim.
Source: kunciujianbaru.blogspot.com
Sekarang, jika sin z = x 3, maka; Contoh soal pembahasan bab integral. Sekarang, jika sin z = x 3, maka; Cos (ax + b) + c. F (x) dx = 0.
Source: intisoal.blogspot.com
Integral bisa dioperasikan denga fungsi trigonometri. ∫ cos x dx = sin x + c. F (x) dx ≥ 0, jika f (x) ≥ 0. Gradien dan persamaan garis singgung kurva di suatu titik. Hal tersebut karena, integral merupakan bentuk dari antiturunan.
 Source: intisoal.blogspot.com
Source: intisoal.blogspot.com
Cot 2 ( z) = csc 2 ( z) − 1 = 1 sin 2 ( z) − 1. Integral juga mampu dioperasikan pada fungsi trigonometri. $ \int \sin (2x + 3) dx $ b). F (x) dx = 0. Yuk lihat 10 contoh soal dan pembahasan integral trigonometri rumus kalkulus operasi hitung contoh soal dan jawaban.
Source: id.scribd.com
Demikianlah pembahasan mengenai contoh soal integral tentu tak tentu substitusi parsial dan rumus semoga dengan adanya ulasan tersebut dapat. = ∫ (1/4 + 1/2 cos 2x + 1/4 (1/2 + 1/2 cos 4x)) dx. $ \int \sin (2x + 3) dx $ b). Cot 2 ( z) = 1 ( x 3) 2 − 1 = 9 x 2 − 1 = 9 − x 2 x 2. Jadi, ∫ √ 9 − x 2 x 2 d x = − √ 9 − x 2 x − sin − 1 ( x 3) + c.
 Source: contoh-surat.co
Source: contoh-surat.co
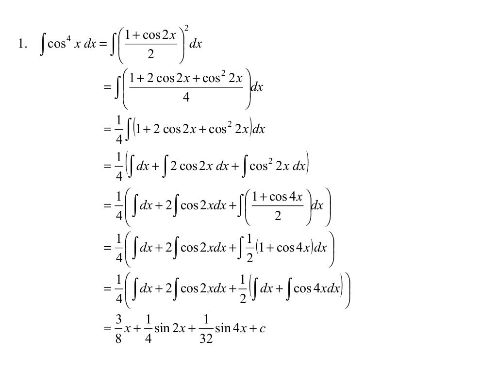
[ f (x) ± g (x)] dx =f (x) dx±g (x) dx. ∫ cos 4 x dx. Sebagai contoh, integral parsial akan sangat berfungsi dengan baik. Integral bentuk aljabar trigonometri menggunakan cara substitusi maupun parsial diambil dari buku matematika gulam halim. Menampilkan tabel rumus integral trigonometri dan contoh soal menentukan nilai integral.
Source: jejakpelajarsekolah.blogspot.com
Soal dan pembahasan teknik substitusi trigonometri pada integral integral yang melibatkan substitusi trigonometri biasanya integrannya memuat ekspresi seperti sqrt a 2 x 2 sqrt a 2 x 2 atau sqrt x 2 a 2. 12+ contoh soal integral substitusi trigonometri. Cot 2 ( z) = 1 ( x 3) 2 − 1 = 9 x 2 − 1 = 9 − x 2 x 2. Integral ditemukan menyusul ditemukannya masalah dalam differensiasi dimana matemetikawan harus berfikir bagaimana rumus integral tentu. Fungsi trigonometri, ternyata juga dapat diintegralkan loh.
 Source: contohsoalku.co
Source: contohsoalku.co
Oleh sebab itu, jika gradien garis singgungnya sudah diketahui jadi persamaan kurvanya bisa ditentukan dengan cara berikut. ∫ cos x dx = sin x + c. Jika f (x) dx ≥ g (x) dx. Suatu fungsi trigonometri juga dapat diintegralkan. ∫e5x dx = 1 e 5x + c 3/2 3.
Source: skuylahhu.com
= ∫ (1/4 + 1/2 cos 2x + 1/8 + 1/8 cos 4x) dx. Oleh sebab itu, jika gradien garis singgungnya sudah diketahui jadi persamaan kurvanya bisa ditentukan dengan cara berikut. ∫5x dx = + c (rumus 7) 6. 12+ contoh soal integral substitusi trigonometri. Sudut pandang ini dapat ditelaah dengan pemanfaatan ilmu aljabar pada integral dengan adanya operasi invers dari operasi turunan.
Source: nadablog12.blogspot.com
$ \int \sin (2x + 3) dx $ b). Dalam melakukan pengintegralan fungsi, penting untuk mahir dalam memanipulasi bentuk fungsi agar dapat diintegralkan. Integral bentuk aljabar trigonometri menggunakan cara substitusi maupun parsial diambil dari buku matematika gulam halim. Dapatkan pelajaran, soal & rumus integral trigonometri lengkap di wardaya college. Sebagai bahan untuk menambah pemahaman sobat idschool mengenai rumus integral trigonometri, berikut ini akan diberikan contoh soal integral fungsi trigonometri.
Source: websiteedukasi.id
Integral trigonometri hai kali ini kita akan membahas mengenai integral trigonometri. ∫5 dx = 5 ln x + c ln5 5x 5. $ \int \sec ^2 (4x) dx $ d). Contoh soal integral trigonometri 1 pembahasan: 12+ contoh soal integral substitusi trigonometri.
Source: soalujian-75.blogspot.com
Tentukan hasil integral dari : Sebagai contoh, integral parsial akan sangat berfungsi dengan baik. = ∫ (1/4 + 1/2 cos 2x + 1/4 cos 2 2x) dx. F (x) dxg (x) dx; F (x) dx = f (x) dx + f (x) dx;
 Source: contohsoalku.co
Source: contohsoalku.co
Selain rumus tersebut diatas, terdapat rumus lain yang bisa dipakai pada pengoperasian integral trigonometri seperti dibawah ini. Selain rumus tersebut diatas, terdapat rumus lain yang bisa dipakai pada pengoperasian integral trigonometri seperti dibawah ini. ∫ cos x dx = sin x + c. By agcmyid posted on december 6, 2021. Suatu fungsi trigonometri juga dapat diintegralkan.
 Source: contohpidatodansoallengkap09.blogspot.com
Source: contohpidatodansoallengkap09.blogspot.com
By agcmyid posted on december 6, 2021. Contoh soal penyelesaian dan pembahasan integral. Jika f (x) dx ≥ g (x) dx. Fungsi trigonometri, ternyata juga dapat diintegralkan loh. ∫ x dx = ∫x1/2 dx = 1 x3/2 + c x 4.
 Source: yuksinau.id
Source: yuksinau.id
Contoh contoh soal integral trigonometri. Tulis x = 3 sin z, maka d x = 3 cos z d z. Contoh soal dan penyelesaian trigonometri secara lengkap 1. $ \int \sin (2x + 3) dx $ b). Pengoperasian integral trigonometri dilakukan dengan konsep yang sama pada integral aljabar yaitu kebalikan dari suatu penurunan.
 Source: slideshare.net
Source: slideshare.net
5 1 1 + 6 1. Integral rangkap itu prinsipnya diintegralkan dua kali dimulai dari bagian dalam misal : Contoh contoh soal integral trigonometri. Soal dan pembahasan teknik substitusi trigonometri pada integral integral yang melibatkan substitusi trigonometri biasanya integrannya memuat ekspresi seperti sqrt a 2 x 2 sqrt a 2 x 2 atau sqrt x 2 a 2. Fungsi trigonometri, ternyata juga dapat diintegralkan loh.
 Source: slideshare.net
Source: slideshare.net
Sobat akan lebih mudah memahami integral trigonometri, jika sebelumnya telah belajar mengenai turunan trigonometri. Contoh soal dan penyelesaian trigonometri secara lengkap 1. Integral juga mampu dioperasikan pada fungsi trigonometri. Sekarang, jika sin z = x 3, maka; − 1/3 sin 3 x + c d.
 Source: contohsoalku.co
Source: contohsoalku.co
Gradien dan persamaan garis singgung kurva di suatu titik. Contoh soal pembahasan bab integral. F (x) dx = 0. Cos (ax + b) + c. Kalaupun bisa prosesnya akan panjang dan memakan waktu yang tidak sebentar.
 Source: kitabelajar.github.io
Source: kitabelajar.github.io
Bentuk dari integral trigonometri, khususnya pada sin x dan cos x, harus mengikuti alur sebagai berikut: Integral rangkap itu prinsipnya diintegralkan dua kali dimulai dari bagian dalam misal : =∫ (cos 2 x) 2 dx. Integral juga mampu dioperasikan pada fungsi trigonometri. Cot 2 ( z) = 1 ( x 3) 2 − 1 = 9 x 2 − 1 = 9 − x 2 x 2.
This site is an open community for users to do sharing their favorite wallpapers on the internet, all images or pictures in this website are for personal wallpaper use only, it is stricly prohibited to use this wallpaper for commercial purposes, if you are the author and find this image is shared without your permission, please kindly raise a DMCA report to Us.
If you find this site adventageous, please support us by sharing this posts to your preference social media accounts like Facebook, Instagram and so on or you can also bookmark this blog page with the title contoh integral trigonometri by using Ctrl + D for devices a laptop with a Windows operating system or Command + D for laptops with an Apple operating system. If you use a smartphone, you can also use the drawer menu of the browser you are using. Whether it’s a Windows, Mac, iOS or Android operating system, you will still be able to bookmark this website.



