Contoh Soal Dan Pembahasan Jumlah Dan Selisih Sinus Dan Cosinus. Kuadran 1 memiliki rentang sudut dari 0 90 dengan nilai sinus cosinus dan tangent positif. Dengan contoh soal ini diharapkan murid dapat menambah pemahamannya tentang aturan cosinus. Kuadran 2 memiliki rentang sudut dari 90 180 dengan nilai cosinus dan tangen negatif sinus positif. Home jumlah sinus cosinus matematika sma selisih sinus cosinus contoh soal jumlah selisih sinus & cosinus serta penyelesaiannya.
MATEMATIKA DI SMA RUMUS TRIGONOMETRI JUMLAH DAN SELISIH From matematikadisma.blogspot.com
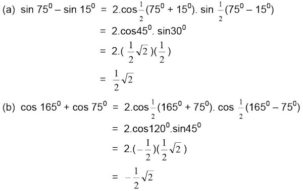
Untuk pembuktian rumus lainnya silakan sebagai latihan. Nah, supaya ahli trentu saja harus banyak latihan. Untuk menentukan nilai sin 75°, kita dapat menggunakan rumus sinus. Soal dan jawaban trigonometri sinus jumlah dan selisih sudut posted by edutafsi on 21 january 2015 600 pm pembahasan trigonometri dibagi menjadi dua bagian yaitu trigonometri i dasar dan trigonometri ii lanjutan. Diketahui sin α = 12/13 , sin β = 7/25, dan α dan β merupakan sudut lancip. Contohnya sin 75 0 kita bisa mencarinya dengan cara sin 60 0 15 0.
Contoh soal 4 sin 105° +.
Jawaban soal 1 sebagai berikut: Home jumlah sinus cosinus matematika sma selisih sinus cosinus contoh soal jumlah selisih sinus & cosinus serta penyelesaiannya. Rumus jumlah dan selisih sinus dan cosinus. Diketahui sin α = 12/13 , sin β = 7/25, dan α dan β merupakan sudut lancip. Cos 195° dipecah menjadi cos. Nah, supaya ahli trentu saja harus banyak latihan.
Source: soaltuntaskan.blogspot.com
Nah, supaya ahli trentu saja harus banyak latihan. Untuk pembuktian rumus lainnya silakan sebagai latihan. Kuadran 2 memiliki rentang sudut dari 90 180 dengan nilai cosinus dan tangen negatif sinus positif. Rumus tersebut mengubah (konversi) bentuk jumlah atau selisih dua kosinus atau dua sinus menjadi perkalian. Untuk mempermudah anda mengerjakan soal, perhatikan rumus perkalian cosinus dan sinus berikut ini.
Source: dapatkancontoh.blogspot.com
Cara tersebut adalah menghafal rumus perkalian dua sudut sinus menggunakan kalimat berikut min dua sin sin sama dengan cos jumlah dikurang cos selisih. Baik kita anggap teman sains seru sudah membaca dan memahami rumus trigonometri jumlah dan selisih dua sudut ya. Rumus trigonometri dan contoh soalnya: Oleh opan diperbarui 05092017 dibuat 13102011 seorang guru matematika yang hobi menulis tiga bahasa yaitu bahasa indonesia matematika dan php. Kuadran 1 memiliki rentang sudut dari 0 90 dengan nilai sinus cosinus dan tangent positif.
Source: caragolden.com
Hitunglah dengan rumus cosinus jumlah dan selisih dua sudut berikut: Tanpa menggunakan tabel dan kalkulator, tentukanlah nilai dibawah ini: Contoh soal membuktikan identitas penjumlahan dan pengurangan trigonometri. Contoh soal trigonometri jumlah dan selisih sinus dan cosinus. Rumus penjumlahan cosinus berdasarkan rumus perkalian cosinus diperoleh hubungan penjumlahan dalam cosinus yaitu sebagai berikut.
Source: tambahpinter.com
Pada postingan ini kita membahas contoh soal aturan sinus & aturan cosinus dan penyelesaiannya / pembahasannya. Diketahui cos α = 3/5 dan sin β =. 14/01/2020 · postingan ini membahas contoh soal cosinus, sinus, tangen jumlah dan selisih dua sudut yang disertai pembahasannya atau penyelesaiannya.… Rumus jumlah dan selisih sinus dan cosinus. Berikut hasil pengurangan kedua rumus tersebut.
Source: youtube.com
Kuadran 2 memiliki rentang sudut dari 90 180 dengan nilai cosinus dan tangen negatif sinus positif. Jika diketahui besar sudut α sebesar 75° dan besar sudut β sebesar 15°. Oleh opan diperbarui 05092017 dibuat 13102011 seorang guru matematika yang hobi menulis tiga bahasa yaitu bahasa indonesia matematika dan php. Soal dan jawaban trigonometri sinus jumlah dan selisih sudut posted by edutafsi on 21 january 2015 600 pm pembahasan trigonometri dibagi menjadi dua bagian yaitu trigonometri i dasar dan trigonometri ii lanjutan. Jika ada yang mau ditanyakan bisa ketikkan di kolom komentar dibawah ya.
Source: sin-tan-c0s.blogspot.com
Video ini berisikan pembahasan soal soal yang berkaitan dengan jumlah dan selisih sinus dan cosinus pada trigonometri. Jika ada yang mau ditanyakan bisa ketikkan di kolom komentar dibawah ya. Diketahui cos α = 3/5 dan sin β =. Untuk lebih jelasnya, dibawah ini diberikan beberapa contoh soal cosinus, sinus, tangen jumlah dan selisih dua sudut. Cos 195 dipecah menjadi cos 150 45 sehingga diketahui.
Source: youtube.com
Soal dan jawaban jumlah dan selisih dua sudut nah melalui segelintir perhitungan diperoleh rumus trigonometri sudut α β. Sudut a adalah sudut tumpul sedangkan sudut b adalah sudut lancip. 14/01/2020 · postingan ini membahas contoh soal cosinus, sinus, tangen jumlah dan selisih dua sudut yang disertai pembahasannya atau penyelesaiannya.… Soal dan jawaban jumlah dan selisih dua sudut nah melalui segelintir perhitungan diperoleh rumus trigonometri sudut α β. Baiklah langsung saja kita masuk ke soal yang pertama.
Source: sin-tan-c0s.blogspot.com
Cara tersebut adalah menghafal rumus perkalian dua sudut sinus menggunakan kalimat berikut min dua sin sin sama dengan cos jumlah dikurang cos selisih. Baiklah langsung saja kita masuk ke soal yang pertama. Subjuntive menunjukkan suatu insiden yang bertentangan dengan yang sebenarnya terjadi atau hanya sebuah. Berikut informasi sepenuhnya tentang contoh soal jumlah dan selisih sinus dan cosinus. Mengatasi kelemahan tersebut, cara yang ditawarkan adalah menggunakan aljabar.
Source: soalterpadudoc.blogspot.com
Semoga pembahasan diatas bisa bermanfaat ya bagi teman setia sains seru. Pada postingan ini kita membahas contoh soal aturan sinus & aturan cosinus dan penyelesaiannya / pembahasannya. Cara tersebut adalah menghafal rumus perkalian dua sudut sinus menggunakan kalimat berikut min dua sin sin sama dengan cos jumlah dikurang cos selisih. Rumus trigonometri untuk jumlah dan. Tentukanlah nilai dari sin 75° gunakan konsep jumlah dan dua!
Source: shareitnow.me
Soal soal ini disusun berdasarkan pembahasan aturan cosinus yang telah dibahas sebelumnya. Rumus tersebut dihasilkan dari hasil penjumlahan antara jumlah dan selisih dua sudut pada fungsi sinus. Untuk mempermudah anda mengerjakan soal, perhatikan rumus perkalian cosinus dan sinus berikut ini. Nah, supaya ahli trentu saja harus banyak latihan. 2 sin a sin b cos a b cos a b 2 cos a cos b cos a b cos a b 2 sin a cos b sina b sin a.
Source: soulmath4u.blogspot.com
Kuadran 1 memiliki rentang sudut dari 0 90 dengan nilai sinus cosinus dan tangent positif. Nah, supaya ahli trentu saja harus banyak latihan. Rumus jumlah dan selisih pada sinus dan kosinus 1. Di dalam materi trigonometri selain mempelajari tentang rumus perkalian sinus dan cosinus ada juga. Untuk lebih jelasnya, dibawah ini diberikan beberapa contoh soal cosinus, sinus, tangen jumlah dan selisih dua sudut.
Source: dapatkancontoh.blogspot.com
Contoh soal dan pembahasan jumlah dan selisih cosinus; Tentukan cos (α + β) b. Cos 105º + cos 15º. Semoga pembahasan diatas bisa bermanfaat ya bagi teman setia sains seru. Untuk lebih jelasnya, dibawah ini diberikan beberapa contoh soal cosinus, sinus, tangen jumlah dan selisih dua sudut.
Source: matematikadisma.blogspot.com
Berikut informasi sepenuhnya tentang contoh soal jumlah dan selisih sinus dan cosinus. Cos 195° cos 58° cos 13° + sin 58° sin 13° pembahasan / penyelesaian soal. Tentukanlah nilai dari sin 75° gunakan konsep jumlah dan dua! Contoh soal 4 sin 105° +. Contoh soal dan pembahasan jumlah dan selisih sinus dan cosinus.
Source: mataseluruhdunia208.blogspot.com
Rumus trigonometri dan contoh soalnya: Untuk menentukan nilai sin 75°, kita dapat menggunakan rumus sinus. Dengan contoh soal ini diharapkan murid dapat menambah pemahamannya tentang aturan cosinus. Cos 195° cos 58° cos 13° + sin 58° sin 13° pembahasan / penyelesaian soal. Cos 195° dipecah menjadi cos.
Source: edukasi.lif.co.id
Contoh soal dan pembahasan jumlah dan selisih cosinus; Jika diketahui besar sudut α sebesar 75° dan besar sudut β sebesar 15°. Hitunglah dengan rumus cosinus jumlah dan selisih dua sudut berikut: Diketahui sin α = 12/13 , sin β = 7/25, dan α dan β merupakan sudut lancip. Tentukan cos (α + β) b.
Source: bagicontohsoal.blogspot.com
Jika diketahui sudut α sebesar 105° dan sudut β sebesar 15°. Cos 195° cos 58° cos 13° + sin 58° sin 13° pembahasan / penyelesaian soal. Semoga pembahasan diatas bisa bermanfaat ya bagi teman setia sains seru. Tentukan cos (α + β) b. Baik kita anggap teman sains seru sudah membaca dan memahami rumus trigonometri jumlah dan selisih dua sudut ya.
Source: edukasi.lif.co.id
Baik kita anggap teman sains seru sudah membaca dan memahami rumus trigonometri jumlah dan selisih dua sudut ya. Jika diketahui besar sudut α sebesar 75° dan besar sudut β sebesar 15°. Subjuntive menunjukkan suatu insiden yang bertentangan dengan yang sebenarnya terjadi atau hanya sebuah. Soal dan jawaban trigonometri sinus jumlah dan selisih sudut posted by edutafsi on 21 january 2015 600 pm pembahasan trigonometri dibagi menjadi dua bagian yaitu trigonometri i dasar dan trigonometri ii lanjutan. Tentukanlah nilai dari sin 75° gunakan konsep jumlah dan dua!
Source: contohsoalku.co
Untuk pembuktian, perhatian ulasan berikut. Cos 195° dipecah menjadi cos. Nah, supaya ahli trentu saja harus banyak latihan. Sin (α + β) = sin α cos β + cos α sin β. 14/01/2020 · postingan ini membahas contoh soal cosinus, sinus, tangen jumlah dan selisih dua sudut yang disertai pembahasannya atau penyelesaiannya.…
This site is an open community for users to share their favorite wallpapers on the internet, all images or pictures in this website are for personal wallpaper use only, it is stricly prohibited to use this wallpaper for commercial purposes, if you are the author and find this image is shared without your permission, please kindly raise a DMCA report to Us.
If you find this site good, please support us by sharing this posts to your own social media accounts like Facebook, Instagram and so on or you can also save this blog page with the title contoh soal dan pembahasan jumlah dan selisih sinus dan cosinus by using Ctrl + D for devices a laptop with a Windows operating system or Command + D for laptops with an Apple operating system. If you use a smartphone, you can also use the drawer menu of the browser you are using. Whether it’s a Windows, Mac, iOS or Android operating system, you will still be able to bookmark this website.





