Contoh Soal Masuk Madrasah Aliyah. Pilihlah jawaban yang benar ! Sistem penerimaan santri baru pondok pesantren al muayyad. Contoh soal tes masuk madrasah aliyah negeri download file guru. Contoh soal tes di ma.
Contoh Soal Tes Masuk Madrasah Aliyah Negeri From contohsoalterbaik.blogspot.com
Sejak awal digelar (tahun 2012), ksm. Pilihlah jawaban yang benar ! Contoh soal penggabungan usaha dengan metode pembe. Soal nahwu shorof madrasah aliyah. Dengan demikian, mata pelajaran bahasa arab dan akidah akhlak masuk kelompok mapel yang di uam (ujian akhir madrasah). Kompetisi sains madrasah (ksm) merupakan sebuah kegiatan yang digelar dan diadakan oleh kementerian agama sebagai wahana membangun ghirah kompetisi sains di kalangan siswa madrasah.
22/11/2019 · biasanya soal tes masuk man insan cendekia (man ic) terdiri dari soal tes potensi belajar atau tes potensi akademik, soal tes matematika dan soal tes bahasa inggris, soal tes peminatan, bagi yang peminatan ipa, akan soal fisika dan.
Contoh soal tes masuk madrasah aliyah negeri download file guru. Pilihlah jawaban yang benar ! Home / informasi madrasah / ksm / madrasah aliyah / kumpulan contoh soal ksm madrasah aliyah ( ma ) rabu, 28 juli 2021. Ksm untuk jenjang madrasah aliyah (ma) sendiri melombakan 6 bidang yang meliputi matematika terintegrasi, biologi terintegrasi, fisika terintegrasi, kimia terintegrasi, ekonomi terintegrasi, dan geografi terintegrasi. Kompetisi sains madrasah (ksm) merupakan sebuah kegiatan yang digelar dan diadakan oleh kementerian agama sebagai wahana membangun ghirah kompetisi sains di kalangan siswa madrasah. Sistem penerimaan santri baru pondok pesantren al muayyad.
Source: kondiskorabat.com
Contoh soal tes masuk madrasah aliyah negeri download file guru. Soal nahwu shorof madrasah aliyah. Jadi kumpulan soal asesmen kompetensi guru akg madrasah aliyah ma ini dibuat hanya sebagai. Sejak awal digelar (tahun 2012), ksm. Contoh soal uji kompetensi asesor sekolah/madrasah tahun 2020.
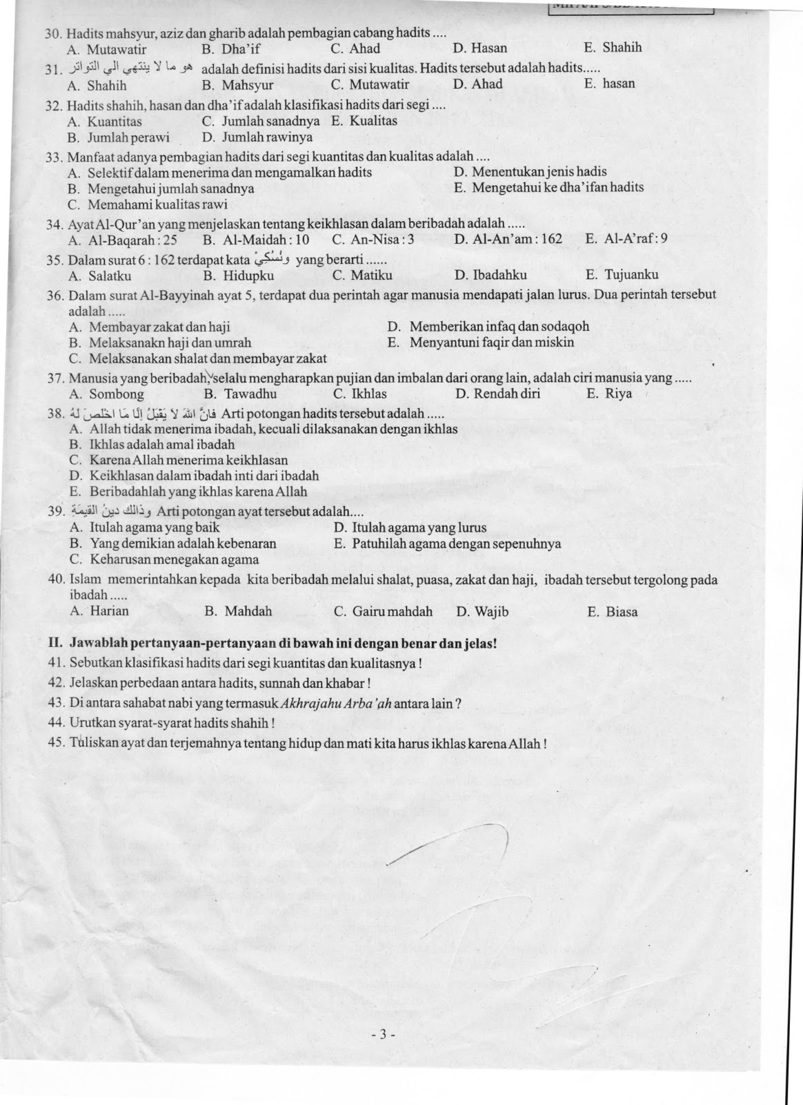
Source: ilmusosial.id
Contoh soal tes masuk madrasah aliyah negeri download file guru. Contoh soal assessment test manager kumpulan soal pelajaran 5 Contoh soal pegon madrasah diniyah kelas 2 mid semerter genap 2019 2020 pagar bawean. Setelah wahabi kini pelajaran man disusupi ajaran hti. Kompetisi sains madrasah (ksm) merupakan sebuah kegiatan yang digelar dan diadakan oleh kementerian agama sebagai wahana membangun ghirah kompetisi sains di kalangan siswa madrasah.
Source: mamapayish-online.blogspot.com
Setelah wahabi kini pelajaran man disusupi ajaran hti. Soal ksm untuk keenam bidang. Ksm untuk jenjang madrasah aliyah (ma) sendiri melombakan 6 bidang yang meliputi matematika terintegrasi, biologi terintegrasi, fisika terintegrasi, kimia terintegrasi, ekonomi terintegrasi, dan geografi terintegrasi. Contoh soal teks eksplanasi dan jawabannya; Hari ini 11000 siswa ikuti tes masuk madrasah republika.
Source: berbagaicontoh.com
Contoh soal pegon madrasah diniyah kelas 2 mid semerter genap 2019 2020 pagar bawean. Contoh surat izin tidak masuk sekolah karena acara keluarga. Melengkapi artikel kumpulan soal ksm, kali ini adalah download soal ksm madrasah aliyah (ma). Contoh soal tes masuk smp mtsn 2019 2019 4 mapel tpa contoh soal tes masuk madrasah aliyah negeri contoh soal tes masuk smp 2019 2019 ini merupakan contoh soal terbaru buat adik adik yang berencana masuk ke smp favorit tahun ini bisa masuk ke sekolah favorit atau sekolah dengan prestise tinggi tentu menjadi impian setiap calon siswa yang baru. Sistem penerimaan santri baru pondok pesantren al muayyad.
Source: teknikkombsi.blogspot.com
Contoh soal tes masuk madrasah aliyah negeri contoh soal dan sumber dari : Contoh soal tes masuk smp mtsn 2019 2019 4 mapel tpa contoh soal tes masuk madrasah aliyah negeri contoh soal tes masuk smp 2019 2019 ini merupakan contoh soal terbaru buat adik adik yang berencana masuk ke smp favorit tahun ini bisa masuk ke sekolah favorit atau sekolah dengan prestise tinggi tentu menjadi impian setiap calon siswa yang baru. Materi soal ujian masuk pondok pesantren gontor pontren com. Ide contoh soal ujian masuk pondok gontor paling dicari cute766. Berdasarkan pos uambn tahun sebelumnya, mata pelajaran yang masuk kelompok uambn pada jenjang madrasah aliyah (ma) ialah al alquran hadist, fikih dan ski.
Source: soalujian.net
Contoh soal latihan uambn mapel fikih ini bisa anda lihat berikut ini. Contoh soal penggabungan usaha dengan metode pembe. Ksm untuk jenjang madrasah aliyah (ma) sendiri melombakan 6 bidang yang meliputi matematika terintegrasi, biologi terintegrasi, fisika terintegrasi, kimia terintegrasi, ekonomi terintegrasi, dan geografi terintegrasi. Pengadilan negeri yang ditempatkan di kedutaan besar di negara yang bersangkutan. Melengkapi artikel kumpulan soal ksm, kali ini adalah download soal ksm madrasah aliyah (ma).
Source: ayobelajar.net
Soal ksm untuk keenam bidang. Materi soal ujian masuk pondok pesantren gontor pontren com. Kalau contoh soal ic gimana. Berikut link latihan kumpulan soal asesmen kompetensi guru akg madrasah aliyah ma tahun 2020, semoga dapat membantu persiapan bapak/ibu guru yang akan mengikuti asesmen kompetensi guru, khususnya bagi para pendidik yang mengajar di madrasah aliyah. Jadi kumpulan soal asesmen kompetensi guru akg madrasah aliyah ma ini dibuat hanya sebagai.
Source: antapedia.com
Contoh soal tes masuk madrasah aliyah negeri contoh soal dan sumber dari : Soal nahwu shorof madrasah aliyah. Dengan demikian, mata pelajaran bahasa arab dan akidah akhlak masuk kelompok mapel yang di uam (ujian akhir madrasah). Contoh soal tes masuk madrasah aliyah negeri; 22/11/2019 · biasanya soal tes masuk man insan cendekia (man ic) terdiri dari soal tes potensi belajar atau tes potensi akademik, soal tes matematika dan soal tes bahasa inggris, soal tes peminatan, bagi yang peminatan ipa, akan soal fisika dan.
Source: hanapibani.com
Contoh soal tes masuk madrasah aliyah negeri contoh soal dan sumber dari : Soal latihan persiapan uambn madrasah aliyah tahun pelajaran 2017 2018 guru madrasah soal dan kunci jawaban uambn ski mts contohsoal net 50 contoh soal dan kunci jawaban uambn ski hadist tingkat mi tahun 2020 Amal ibadah yang dilakukan manusia terutama ibadah mahdhah harus mempunyai landasan hukum sebagai patokan pelaksanannya, sedangkan dari rangkaian ibadah yang dilakukan ada yang masuk kelompok fikih dan ada yang kelompok bukan fikih, dibawah ini yang termasuk. Contoh soal latihan uambn mapel fikih ini bisa anda lihat berikut ini. Soal ujian psb 2014 ma arab.
Source: ilmupopuler81.blogspot.com
Contoh soal psikotes lengkap dan tips mengerjakannya. Ide contoh soal ujian masuk pondok gontor paling dicari cute766. Contoh soal tes masuk madrasah aliyah negeri download file guru. Contoh soal tes di ma. Melengkapi artikel kumpulan soal ksm, kali ini adalah download soal ksm madrasah aliyah (ma).
Source: ilmupopuler81.blogspot.com
Contoh soal psikotes tni dan jawabannya; Contoh soal tentang proposal beserta jawaban; Hari ini 11000 siswa ikuti tes masuk madrasah republika. Soal ujian psb 2015 ma arab. Contoh soal penggabungan usaha dengan metode pembe.
Source: contohsoalterbaik.blogspot.com
Contoh soal psikotes lengkap dan tips mengerjakannya. Uji kompetensi asesor s/m tahun 2020. Contoh soal latihan uambn mapel fikih ini bisa anda lihat berikut ini. Tes calon wali santri pondok pesantren darunnajah. Ujian tulis masuk man insan cendekia kementerian agama ri.
Source: kondiskorabat.com
Contoh soal tes masuk madrasah aliyah negeri download file guru. Ujian tulis masuk man insan cendekia kementerian agama ri. 01/09/2021 · soal agama meliputi hadist, ski (sejarah kebudayaan islam), aqidah, dan fiqih. Hari ini 11000 siswa ikuti tes masuk madrasah republika. Contoh soal dan contoh pidato lengkap contoh soal tes masuk madrasah aliyah negeri.
Source: ayobelajar.net
Melengkapi artikel kumpulan soal ksm, kali ini adalah download soal ksm madrasah aliyah (ma). Ksm untuk jenjang madrasah aliyah (ma) sendiri melombakan 6 bidang yang meliputi matematika terintegrasi, biologi terintegrasi, fisika terintegrasi, kimia terintegrasi, ekonomi terintegrasi, dan geografi terintegrasi. Kompetisi sains madrasah (ksm) merupakan sebuah kegiatan yang digelar dan diadakan oleh kementerian agama sebagai wahana membangun ghirah kompetisi sains di kalangan siswa madrasah. Amal ibadah yang dilakukan manusia terutama ibadah mahdhah harus mempunyai landasan hukum sebagai patokan pelaksanannya, sedangkan dari rangkaian ibadah yang dilakukan ada yang masuk kelompok fikih dan ada yang kelompok bukan fikih, dibawah ini yang termasuk. Uji kompetensi asesor s/m tahun 2020.
Source: pejuangilmudoc.blogspot.com
Contoh soal psikotes tni dan jawabannya; Amal ibadah yang dilakukan manusia terutama ibadah mahdhah harus mempunyai landasan hukum sebagai patokan pelaksanannya, sedangkan dari rangkaian ibadah yang dilakukan ada yang masuk kelompok fikih dan ada yang kelompok bukan fikih, dibawah ini yang termasuk. Contoh soal ksm madrasah aliyah tahun 2021. Kalau contoh soal ic gimana. Contoh soal tentang proposal beserta jawaban;
Source: kertajaticintaaulia.blogspot.com
Kompetisi sains madrasah (ksm) merupakan sebuah kegiatan yang digelar dan diadakan oleh kementerian agama sebagai wahana membangun ghirah kompetisi sains di kalangan siswa madrasah. Contoh soal tes masuk man 2021 dan jawabannya. 01/09/2021 · soal agama meliputi hadist, ski (sejarah kebudayaan islam), aqidah, dan fiqih. Contoh soal tes masuk man insan cendekia jambi barisan contoh konsep 11 soal tes wawancara polisi terupdate lowongan guru dan tenaga kependidikan man insan cendekia tahun. Contoh soal praktek microsoft excel 2007 dan penye.
Source: barucontohsoal.blogspot.com
Soal latihan persiapan uambn madrasah aliyah tahun pelajaran 2017 2018 guru madrasah soal dan kunci jawaban uambn ski mts contohsoal net 50 contoh soal dan kunci jawaban uambn ski hadist tingkat mi tahun 2020 Contoh soal assessment test manager kumpulan soal pelajaran 5 Pilihlah jawaban yang benar ! Sejak awal digelar (tahun 2012), ksm. Soal ksm untuk keenam bidang.
Source: mamapayish-online.blogspot.com
Berikut link latihan kumpulan soal asesmen kompetensi guru akg madrasah aliyah ma tahun 2020, semoga dapat membantu persiapan bapak/ibu guru yang akan mengikuti asesmen kompetensi guru, khususnya bagi para pendidik yang mengajar di madrasah aliyah. Contoh soal dan contoh pidato lengkap contoh soal tes masuk madrasah aliyah negeri. Home / informasi madrasah / ksm / madrasah aliyah / kumpulan contoh soal ksm madrasah aliyah ( ma ) rabu, 28 juli 2021. Sejak awal digelar (tahun 2012), ksm. Soal nahwu shorof madrasah aliyah.
This site is an open community for users to do submittion their favorite wallpapers on the internet, all images or pictures in this website are for personal wallpaper use only, it is stricly prohibited to use this wallpaper for commercial purposes, if you are the author and find this image is shared without your permission, please kindly raise a DMCA report to Us.
If you find this site serviceableness, please support us by sharing this posts to your own social media accounts like Facebook, Instagram and so on or you can also save this blog page with the title contoh soal masuk madrasah aliyah by using Ctrl + D for devices a laptop with a Windows operating system or Command + D for laptops with an Apple operating system. If you use a smartphone, you can also use the drawer menu of the browser you are using. Whether it’s a Windows, Mac, iOS or Android operating system, you will still be able to bookmark this website.




