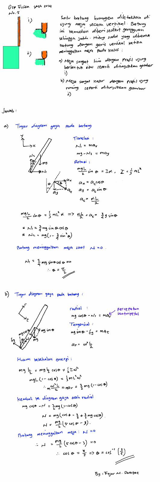
Contoh Soal Olimpiade Fisika Sma. If you do not find the exact resolution you are looking for, then go for a native or higher resolution. Osp fisika 2019 dimensi sains. Batang tegar dan lintasan melingkar; Kunci jawaban osk fisika sma 2019 | download
Soal latihanolimpiadefisikasma From slideshare.net
Oleh karena itu hanya ada tiga buah gaya yang bekerja pada silinder, yaitu gaya berat silinder dengan titik tangkap di q, gaya tarik tali f. Balok dan lintasan melingkar kasar; Jika percepatan gravitasi dianggap 10 m/det 2, tentukan gaya yang harus diberikan oleh orang tersebut ke tali agar ia bisa mempertahankan dirinya untuk tidak menyentuh lantai. Ksn (olimpiade sains nasional) adalah ajang kompetensi setiap jenjang pendidikan sd, smp, sma. Olimpiade sains nasional (osn) adalah ajang berkompetisi dalam bidang sains bagi para siswa pada jenjang sd, smp, dan sma di indonesia. Karena itu, sebagai bahan belajar kami post soal olimpiade tingkat sma 2015, semoga bermanfaat.
Soal osn biologi tahun 2018 , pembahasan.
Fisika tanpa mengerti konsep secara mendalam itu sama saja bohong. Contoh rpp fisika sma kurikulum 2013; Osk fisika 2019 dimensi sains. Fisika tanpa mengerti konsep secara mendalam itu sama saja bohong. Lihat gambar di bawah ini. Batang tegar dan lintasan melingkar;
Source: slideshare.net
Contoh soal olimpiade fisika sma/ma 2020 dan kunci jawabannya. Contoh soal olimpiade fisika sma/ma 2020 dan kunci jawabannya. Latihan soal olimpiade geografi sma. Soal osn biologi tahun 2018 , pembahasan. Contoh soal olimpiade fisika smp dan pembahasannya.
Source: latihan-soal-olimpiade-fisika.blogspot.com
Batang tegar dan lintasan melingkar; If you do not find the exact resolution you are looking for, then go for a native or higher resolution. Soal latihan olimpiade fisika sma. Download soal dan pembahasan osk osp osn sma setiap tahun (lengkap)!! Solusi pembahasan olimpiade fisika osn 2008 fisika study center.
Source: slideshare.net
Osp fisika 2019 dimensi sains. Soal osn matematika tahun 2018 , pembahasan. 24+ contoh soal osn fisika sma. Selain soal osn tingkat sma, terdapat juga soal ksn untuk jenjang dibawahnya. Free soal osn fisika smp.
Source: slideshare.net
Konsep bisa dipelajari dan dilatih (drilling) setiap harinya dengan soal. Mhharismansur 2/24/2019 10:51:00 pm no comments. Selain soal osn tingkat sma, terdapat juga soal ksn untuk jenjang dibawahnya. Dan untuk mata ujian fisika tersendiri berada di cakupan sekolah menengah atas (sma). Bola pejal dan bidang miring;
 Source: berbagaicontoh.com
Soal osk fisika sma 2019 | download; Osk fisika 2019 dimensi sains. Untuk membantu belajar fisika selain kumpulan soal dan pembahasan fisika tiap bab di dalam blog ini juga terdapat artikel artikel. Soal osn fisika sma 2020; Contoh soal olimpiade fisika sma dan pembahasan;
Source: ruangilmu.github.io
Seorang siswa dapat menggunakan pekerjaan dalam sebuah metode ilmiah, dengan mengumpulkan data, maka siswa akan segera. Kini mereka patut bergembira, karena buku ini hadir untuk mengisi kekosongan tersebut. Seorang siswa dapat menggunakan pekerjaan dalam sebuah metode ilmiah, dengan mengumpulkan data, maka siswa akan segera. Soal osk fisika sma 2019 | download; Osp fisika 2019 dimensi sains.
Source: projectsoal.blogspot.com
Soal olimpiade sains nasional kompetisi sains nasional geografi sma tahun 2020 ini dilengkapi dengan kunci jawabannya. Kunci jawaban osk fisika sma 2019 | download Contoh soal olimpiade fisika sma/ma 2020 dan kunci jawabannya. Latihan soal biologi bab1 kelas xii ipa. Soal osn kimia tahun 2018 , pembahasan.
Source: sumberbelajarsoal.blogspot.com
Batang tegar dan lintasan melingkar; Selain soal osn tingkat sma, terdapat juga soal ksn untuk jenjang dibawahnya. Bola di dalam lingkaran vertikal; Osn fisika sma tahun 2018. Kini mereka patut bergembira, karena buku ini hadir untuk mengisi kekosongan tersebut.
Source: slideshare.net
Balok dan lintasan melingkar kasar; Mhharismansur 2/24/2019 10:51:00 pm no comments. Contoh soal olimpiade fisika sma/ma 2020 dan kunci jawabannya. Soal nomor 2 seseorang (massa 60 kg) terikat dan terhubung ke sebuah sistem katrol sebagaimana tampak pada gambar di samping. Dibawah ini adalah bank soal olimpiade sains fisika sma tahun 2019:
Source: muhammadsajadi.blogspot.com
Latihan soal biologi bab1 kelas xii ipa. Dibawah ini adalah bank soal olimpiade sains fisika sma tahun 2019: Soal osk fisika sma 2019 | download; Oleh karena itu hanya ada tiga buah gaya yang bekerja pada silinder, yaitu gaya berat silinder dengan titik tangkap di q, gaya tarik tali f. Contoh soal olimpiade fisika sma.
Source: berbagaicontoh.com
Mhharismansur 2/24/2019 10:51:00 pm no comments. Free soal osn fisika smp. Latihan soal biologi bab1 kelas xii ipa. Pada saat silinder tepat akan meninggalkan lantai dititik q maka gaya reaksi lantai pada silinder sama dengan nol. Dan untuk mata ujian fisika tersendiri berada di cakupan sekolah menengah atas (sma).
Source: bukusekolah.github.io
Jika percepatan gravitasi dianggap 10 m/det 2, tentukan gaya yang harus diberikan oleh orang tersebut ke tali agar ia bisa mempertahankan dirinya untuk tidak menyentuh lantai. Oleh karena itu hanya ada tiga buah gaya yang bekerja pada silinder, yaitu gaya berat silinder dengan titik tangkap di q, gaya tarik tali f. Balok dan lintasan melingkar kasar; Dan untuk mata ujian fisika tersendiri berada di cakupan sekolah menengah atas (sma). Solusi pembahasan olimpiade fisika osn 2008 fisika study center.
Source: brankaslatihansoal.blogspot.com
Contoh rpp fisika sma kurikulum 2013; Soal osn fisika sma 2020; Soal geografi soal osn geografi sma. Contoh rpp fisika sma kurikulum 2013; Dibawah ini adalah bank soal olimpiade sains fisika sma tahun 2019:
Source: slideshare.net
Soal osn fisika tahun 2018 , pembahasan. Katrol dan tali dianggap tak bermassa dan licin. Contoh soal menentukan kecepatan dari fungsi percepatan; Dibawah ini adalah bank soal olimpiade sains fisika sma tahun 2019: Pada saat silinder tepat akan meninggalkan lantai dititik q maka gaya reaksi lantai pada silinder sama dengan nol.
Source: bukusekolah.github.io
Pada saat silinder tepat akan meninggalkan lantai dititik q maka gaya reaksi lantai pada silinder sama dengan nol. Olimpiade sains nasional (osn) adalah ajang berkompetisi dalam bidang sains bagi para siswa pada jenjang sd, smp, dan sma di indonesia. Seorang siswa dapat menggunakan pekerjaan dalam sebuah metode ilmiah, dengan mengumpulkan data, maka siswa akan segera. Soal geografi soal osn geografi sma. Katrol dan tali dianggap tak bermassa dan licin.
Source: pembahasansoalku.blogspot.com
Soal geografi soal osn geografi sma. Soal nomor 2 seseorang (massa 60 kg) terikat dan terhubung ke sebuah sistem katrol sebagaimana tampak pada gambar di samping. Soal osn biologi tahun 2018 , pembahasan. Untuk membantu belajar fisika selain kumpulan soal dan pembahasan fisika tiap bab di dalam blog ini juga terdapat artikel artikel. Daftar isi soal latihan dasar olimpiade fisika sma;
Source: slideshare.net
By ahmad ghani posted on july 15, 2021. Free soal osn fisika smp. Lihat gambar di bawah ini. Solusi pembahasan olimpiade fisika osn 2008 fisika study center. Soal osk fisika sma 2019 | download;
Source: yuk.mojok.my.id
Fisika tanpa mengerti konsep secara mendalam itu sama saja bohong. Soal olimpiade fisika tingkat kabupaten tahun 2008 soal olimpiade fisika tingkat kabupaten tahun 2009 soal olimpiade fisika tingkat kabupaten tahun 2011 soal olimpiade fisika tingkat kabupaten tahun 2012 soal olimpiade fisika tingkat kabupaten tahun 2013 soal olimpiade fisika tingkat kabupaten tahun 2014 soal olimpiade fisika tingkat kabupaten. Soal osn ekonomi tahun 2018 , pembahasan. Soal osn biologi tahun 2018 , pembahasan. By ahmad ghani posted on july 15, 2021.
This site is an open community for users to share their favorite wallpapers on the internet, all images or pictures in this website are for personal wallpaper use only, it is stricly prohibited to use this wallpaper for commercial purposes, if you are the author and find this image is shared without your permission, please kindly raise a DMCA report to Us.
If you find this site helpful, please support us by sharing this posts to your preference social media accounts like Facebook, Instagram and so on or you can also bookmark this blog page with the title contoh soal olimpiade fisika sma by using Ctrl + D for devices a laptop with a Windows operating system or Command + D for laptops with an Apple operating system. If you use a smartphone, you can also use the drawer menu of the browser you are using. Whether it’s a Windows, Mac, iOS or Android operating system, you will still be able to bookmark this website.





