Contoh Soal Ptlsv. Di bawah ini akan kami berikan contoh soal sekaligus cara penyeleaiannya dan juga jawaban dari soal pertidaksamaan linear satu variabel. Kemudian selesaian dengan menggunakan penyelesaian persamaan linear satu variabel dengan cara persamaan ekuivalen atau pindah ruas. Bu ani membeli 4 kg apel. Di bawah ini akan kami berikan contoh soal sekaligus cara penyeleaiannya dan juga jawaban dari soal pertidaksamaan linear satu variabel.
Contoh 5 Soal Plsv Dan Ptlsv Beserta Jawabannya ID Aplikasi From idaplikasi.com
Biasanya persamaan linear satu variabel mengunakan simbol sama dengan (=), sedangkan untuk pertidaksamaannya menggunakan simbol kurang dari (<), lebih. Di bawah ini akan kami berikan contoh soal sekaligus cara penyeleaiannya dan juga jawaban dari soal pertidaksamaan linear satu variabel. Penyelesaian persamaan linear 13 x 5. Berikut informasi sepenuhnya tentang contoh soal cerita plsv dan ptlsv beserta jawabannya. Harapannya tentu agar kalian bisa menguasai semua tipe soal persamaan linear satu variabel plsv. Persamaan plsv dan ptlsv, pertidaksamaan kuadrat, pertidaksamaan linear 2.
Contoh soal persamaan linear satu variabel kelas 10 sma.
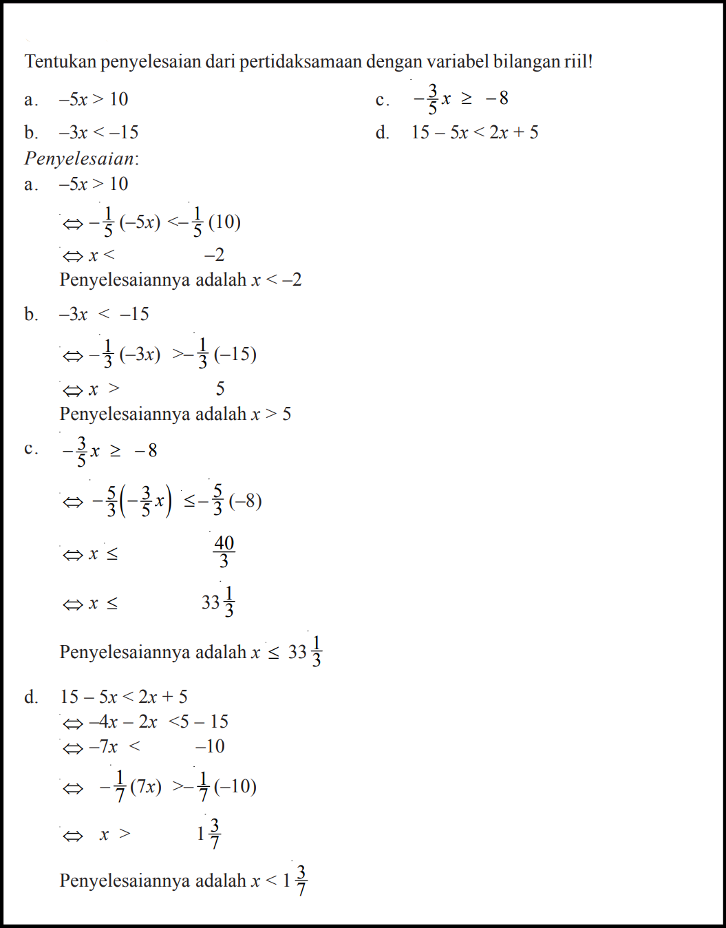
Carilah himpunan penyelesaian pertidaksamaan dibawah ini. Yang membedakannya hanyalah penggunaan simbol matematikanya saja. Carilah himpunan penyelesaian pertidaksamaan dibawah ini. Keliling tanah pak sugeng yaitu 50 meter. By agcmyid posted on october 26, 2021. Setelah mempelajari persamaannya tiba saatnya untuk mempelajari perbedaannya yaitu sistem ptlsv.
Source: ilmusoal.com
2 grafik sistem pertidaksamaan linear. Soal tentang contoh soal grafik pertidaksamaan linear. Sistem persamaan linear tiga variabel spltv merup. Artikel ini menyajikan kumpulan contoh soal tentang pertidaksamaan linear satu variabel beserta pembahasannya lengkap dengan gambar grafik selang atau garis bilangan himpunan penyelesaiannya. Contoh soal plsv dan ptlsv beserta jawabannya.
Source: contoh-soal-hd.blogspot.com
Contoh soal splsv berikut contoh soal splsv dan penyelesaiannya. Contoh soal plsv dan ptlsv beserta jawabannya. Contoh soal ptlsv dan cara penyelesaiannya. Demikian pembelajaran kita hari ini. Agar lebih paham siswa bisa mempelajari contoh soal.
Source: berbagaicontoh.com
By agcmyid posted on september 20, 2021. Tahap terakhir pembelajaran kali ini adalah, kalian kerjakan latihan soal plsv dan ptlsv. Contoh soal pertidaksamaan linier satu variabel dan penyelesainnya. Contoh pertanyaan tentang mata pelajaran bahasa indonesia secara khusus ditujukan untuk adik yang berada di kelas 7 smp. Doc latihan soal aljabar plsv dan ptlsv kelas vii sholeh uzain al zar academia edu.
Source: berpendidikan.com
Ayo kita berlatih 4 3 matematika. Contoh soal aljabar kelas 7 smp plus jawaban dan pembahasan juragan les. Contoh soal ptlsv dan cara penyelesaiannya. Artikel ini menyajikan kumpulan contoh soal tentang pertidaksamaan linear satu variabel beserta pembahasannya lengkap dengan gambar grafik selang atau garis bilangan himpunan penyelesaiannya. Contoh soal pertidaksamaan linear satu variabel (ptlsv) dapat diselesaikan dengan cara yang hampir sama dengan plsv.
Source: math4junior.blogspot.com
Berikut informasi sepenuhnya tentang contoh soal cerita persamaan linear satu variabel dan pembahasannya. 2 grafik sistem pertidaksamaan linear. Pdf strategi pemecahan masalah dalam menyelesaikan soal cerita pada materi. → x = 3, maka 3 + 3 < 7, bernilai benar. Ayo kita berlatih 4 3 matematika.
Source: barucontohsoal.blogspot.com
Penyelesaian persamaan linear 13 x 5. Contoh soal aljabar kelas 7 smp plus jawaban dan pembahasan juragan les. Soal aljabar kelas 7 ops sekolah kita. Ulangan harian plsv c ulangan harian plsv c. Sedangkan bentuk umum dari ptlsv pada variabel x bisa ditulis dengan pernyataan:
Source: berpendidikan.com
Contoh soal pertidaksamaan linear satu variabel (ptlsv) dapat diselesaikan dengan cara yang hampir sama dengan plsv. → x = 1, maka 1 + 3 < 7, bernilai benar. Sampai jumpa di pertemuan berikutnya yaitu ulangan harian plsv dan ptlsv. Ayahnya memberi lagi 12 biji, teryata banyak bola ricko sekarang lebih dari 70. Contoh soal pkn kelas 9 smpmts dan kunci jawabannya.
Source: zcw-tvbx3.blogspot.com
X + 3 < 8, dengan x variabel dari bilangan bulat. Sampai jumpa di pertemuan berikutnya yaitu ulangan harian plsv dan ptlsv. Contoh soal cerita pertidaksamaan linear satu variabel. 2 grafik sistem pertidaksamaan linear. Contoh 5 soal plsv dan ptlsv beserta jawabannya.
Source: zcvrozicpluzz.blogspot.com
Contoh soal plsv dan ptlsv beserta jawabannya. Berikut adalah contoh permasalahan dan penyelesaian persamaan linier satu variabel. → x = 1, maka 1 + 3 < 7, bernilai benar. Doc latihan soal aljabar plsv dan ptlsv kelas vii sholeh uzain al zar academia edu. Berikut informasi sepenuhnya tentang contoh soal cerita plsv dan ptlsv beserta jawabannya.
Source: galerisiswasekolah.blogspot.com
Pengertian dan contoh soal pertidaksamaan linear satu. X = 1, jadi 1 + 3 < 8, bernilai benar Contoh soal persamaan linear satu variabel kelas 10 sma. → x = 3, maka 3 + 3 < 7, bernilai benar. → x = 1, maka 1 + 3 < 7, bernilai benar.
Source: beritapedia.clodui.com
Contoh soal 1 selisih dua bilangan adalah 7. Contoh penyelesaian model plsv dengan cara membuat persamaan yang ekuivalen: → x = 3, maka 3 + 3 < 7, bernilai benar. Link soal kelas 7abc silahkan klik di sini. Contoh soal ptlsv dan cara penyelesaiannya.
Source: idaplikasi.com
Kumpulan contoh soal dan jawaban splk (sistem persamaan linear dan kuadrat) 15 contoh soal cerita spldv, spltv, splk. Artikel ini menyajikan kumpulan contoh soal tentang pertidaksamaan linear satu variabel beserta pembahasannya lengkap dengan gambar grafik selang atau garis bilangan himpunan penyelesaiannya. By agcmyid posted on september 20, 2021. Contoh soal pertidaksamaan linear satu variabel (ptlsv) dapat diselesaikan dengan cara yang hampir sama dengan plsv. Contoh soal pertidaksamaan liniear contoh soal 1:
Source: berpendidikan.com
Ulangan harian plsv c ulangan harian plsv c. Kumpulan contoh soal dan jawaban splk (sistem persamaan linear dan kuadrat) 15 contoh soal cerita spldv, spltv, splk. Contoh 5 soal plsv dan ptlsv beserta jawabannya guru ilmu sosial cute766. Kemudian selesaian dengan menggunakan penyelesaian persamaan linear satu variabel dengan cara persamaan ekuivalen atau pindah ruas. Contoh 5 soal plsv dan ptlsv beserta jawabannya.
Source: math4junior.blogspot.com
Sampai jumpa di pertemuan berikutnya yaitu ulangan harian plsv dan ptlsv. Ax + b < 0, ax + b ³ 0, ax + b > 0, ataupun ax + b £ 0, ( a ¹ 0, a maupun b adalah bilangan real atau (nyata) ). Contoh soal ptlsv dan cara penyelesaiannya. Link soal kelas 7efghi silahkan klik di sini. Agar lebih paham siswa bisa mempelajari contoh soal.
Source: contohsoalitu.blogspot.com
Contoh soal ptlsv dan cara penyelesaiannya. Ayo kita berlatih 4 3 matematika. Keliling tanah pak sugeng yaitu 50 meter. Silakan perhatikan pertidaksamaan dibawah ini : Maka hitunglah ukuran panjang dan lebar tanah pak agus!
Source: idaplikasi.com
Link soal kelas 7d silahkan klik di sini. Ayo kita berlatih 4 3 matematika. Di bawah ini akan kami berikan contoh soal sekaligus cara penyeleaiannya dan juga jawaban dari soal pertidaksamaan linear satu variabel. Contoh penyelesaian model ptlsv dengan cara membuat pertidaksamaan yang ekuivalen: Contoh soal aljabar kelas 7 smp plus jawaban dan pembahasan juragan les.
Source: berpendidikan.com
Artikel ini berisi kumpulan contoh soal cerita yang berkaitan dengan spldv sistem persamaan linear dua variabel spltv sistem persamaan linear tiga variabel dan spkk sistem. → x = 3, maka 3 + 3 < 7, bernilai benar. Contoh soal ptlsv dan cara penyelesaiannya. By agcmyid posted on october 26, 2021. Download contoh soal plsv ptlsv.
Source: mikiransoal.blogspot.com
Contoh soal plsv dan ptlsv beserta jawabannya. Doc latihan soal aljabar plsv dan ptlsv kelas vii sholeh uzain al zar academia edu. 2 2 1 0 e. X + 3 < 7 (dengan x variabel dari bilangan bulat) untuk : X + 3 < 8, dengan x variabel dari bilangan bulat.
This site is an open community for users to do sharing their favorite wallpapers on the internet, all images or pictures in this website are for personal wallpaper use only, it is stricly prohibited to use this wallpaper for commercial purposes, if you are the author and find this image is shared without your permission, please kindly raise a DMCA report to Us.
If you find this site adventageous, please support us by sharing this posts to your favorite social media accounts like Facebook, Instagram and so on or you can also save this blog page with the title contoh soal ptlsv by using Ctrl + D for devices a laptop with a Windows operating system or Command + D for laptops with an Apple operating system. If you use a smartphone, you can also use the drawer menu of the browser you are using. Whether it’s a Windows, Mac, iOS or Android operating system, you will still be able to bookmark this website.



