Contoh Soal Trigonometri Kelas 11. Contoh soal dan pembahasan trigonometri kelas 11 pdf comfortlinoa. Penyelesaian persamaan cosx=−12√3 untuk 0∘≤x≤360∘ adalah. Tan 2a = tan (a + a) rumus: Contoh soal matriks kelas 11 2019 dan kunci jawabannya from.
Latihan Soal Trigonometri Kelas XI From slideshare.net
Contoh soal dan pembahasan fluida statis dan dinamis; 11 trigonometri rumus sudut rangkap. Topik yang dibahas penggunaan rumus jumlah dan selisih sudut. Contoh soal dan jawaban trigonometri kelas 10. Rumus sudut rangkap untuk cosinus. Soal dan pembahasan perbandingan trigonometri pdf.
Contoh soal dan jawaban persamaan trigonometri kelas 11.
Kali ini kita akan membahas materi tentang matriks yang akan kita terangkan secara detail mulai dari pengertian dari matriks pengertian rumus contoh soal dan pembahasannya. Contoh soal persamaan trigonometri kelas 11 serta jawabanya. Contoh soal dan pembahasan trigonometri kelas 11 pdf comfortlinoa. Soal dan pembahasan perbandingan trigonometri pdf. Kali ini kita akan membahas materi tentang matriks yang akan kita terangkan secara detail mulai dari pengertian dari matriks pengertian rumus contoh soal dan pembahasannya. Identitas trigonometri dapat diartikan sebagai persamaan yang menghubungkan perbandingan trigonometri tertentu.
Source: kunciujianbaru.blogspot.com
Topik yang dibahas penggunaan rumus jumlah dan selisih sudut. Contoh soal dan pembahasan trigonometri lengkap kelas 11 di kesempatan kali ini kita akan memberikan contoh soal dan pembahasan trigonometri kelas 11. Sin β + sin 2 β. Soal dan pembahasan perbandingan trigonometri pdf. 6 jika tan α = 1, tan β = 1/3 dengan α dan β sudut lancip maka sin (α − β) =….
Source: zcy-tvfu3.blogspot.com
By agcmyid posted on october 8, 2021. Sin q = 1/√10, cos q = 3/√10. Contoh soal matriks kelas 11 2019 dan kunci jawabannya from. Dari gambar di atas terlihat bentuk segitiga dan jarak antar titik p dan q bisa dicari dengan menggunakan aturan cosinus. Contoh soal dan pembahasan trigonometri kelas 11 pdf comfortlinoa.
Source: contoh-surat.co
Contoh soal dan pembahasan fluida statis dan dinamis; Daftar bintang dan daftar nilai siswa kelas xi mipa juli 14 2020. Titik p dan q dinyatakan dengan kordinat polar. Contoh soal dan pembahasan trigonometri kelas 11 pdf comfortlinoa. Tan 2a = tan (a + a) rumus:
Source: duniabelajars.blogspot.com
X = sin α + sin β ⇒ x 2 = sin 2 α + 2sin α. Jika α sudut lancip dan cos α = 4/5 , hitunglah tan 2α. Identitas trigonometri dapat diartikan sebagai persamaan yang menghubungkan perbandingan trigonometri tertentu. Kumpulan rumus trigonometri kelas xi sma trigonometri jumlah & selisih sudut: Contoh soal dan pembahasan trigonometri lengkap kelas 11 di kesempatan kali ini kita akan memberikan contoh soal dan pembahasan trigonometri kelas 11.
Source: slideshare.net
Contoh soal dan pembahasan trigonometri kelas 11 pdf comfortlinoa. Dengan menggunakan rumus tan (a + b), untuk a = b diperoleh: Sin 2 ɵ s m deng n… a. 28/11/2018 · contoh soal dan jawaban trigonometri 1. Contoh soal persamaan trigonometri kelas 11 serta jawabanya.
Source: ilmusoal.com
Dengan menggunakan rumus tan (a + b), untuk a = b diperoleh: 25+ contoh soal trigonometri kelas 11. Dari gambar di atas terlihat bentuk segitiga dan jarak antar titik p dan q bisa dicari dengan menggunakan aturan cosinus. Identitas trigonometri dapat diartikan sebagai persamaan yang menghubungkan perbandingan trigonometri tertentu. Pembahasan cek sin cos kedua sudut p dan q sin p = 3/5, cos p = 4/5.
Source: zcweddings.blogspot.com
Berikut ini kami sajikan contoh soal persamaan trigonometri kelas 11 dan pembahasannya secara lengkap untuk anda pelajari. Identitas trigonometri umumnya digunakan untuk mengubah ekspresi yang memuat perbandingan trigonometri menjadi bentuk lain yang lebih sederhana. Sin 2 ɵ s m deng n a. Cos a cos b d. Sin q = 1/√10, cos q = 3/√10.
Source: contohsoalku.co
Kerjakan latihan contoh soal uts trigonometri agar nilai. Contoh soal dan pembahasan gaya gesek pada bidang datar; Dari gambar di atas terlihat bentuk segitiga dan jarak antar titik p dan q bisa dicari dengan menggunakan aturan cosinus. X 25 0 k360 0 atau. 17++ contoh soal matriks trigonometri.
Source: shareitnow.me
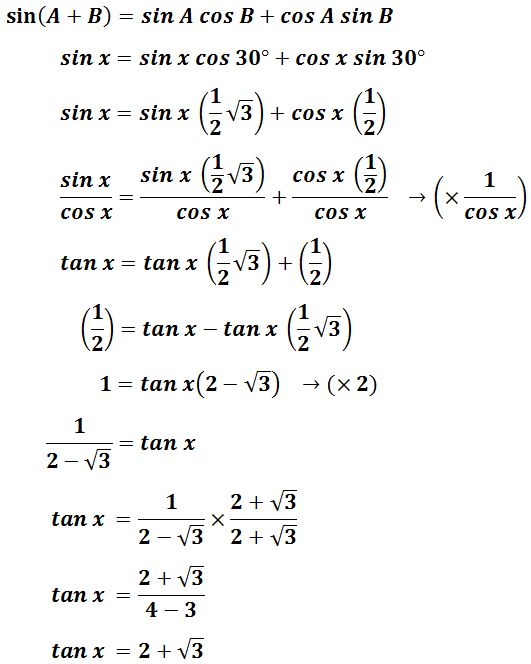
Pembahasan cek sin cos kedua sudut p dan q sin p = 3/5, cos p = 4/5. Dari gambar di atas terlihat bentuk segitiga dan jarak antar titik p dan q bisa dicari dengan menggunakan aturan cosinus. Contoh soal dan pembahasan trigonometri lengkap kelas 11 di kesempatan kali ini kita akan memberikan contoh soal dan pembahasan trigonometri kelas 11. Contoh soal dan pembahasan gaya gesek pada bidang datar; Jika sin (x + 30⁰) = sin x, buktikan bahwa tan x = 2 + √3.
Source: soalkitas.blogspot.com
25+ contoh soal trigonometri kelas 11. Sin a sin b e. Identitas trigonometri umumnya digunakan untuk mengubah ekspresi yang memuat perbandingan trigonometri menjadi bentuk lain yang lebih sederhana. Kali ini kita akan membahas materi tentang matriks yang akan kita terangkan secara detail mulai dari pengertian dari matriks pengertian rumus contoh soal dan pembahasannya. Topik yang dibahas penggunaan rumus jumlah dan selisih sudut.
Source: kunciujianbaru.blogspot.com
Persamaan trigonometri untuk beberapa kasus dapat dirubah menjadi persamaan kuadrat yang memuat sinus, kosinus, atau tangen. 17++ contoh soal matriks trigonometri. Langsung saja kita simak soal di. Contoh soal dan pembahasan trigonometri kelas 11 pdf comfortlinoa. Soal hots trigonometri matematika peminatan kelas xi.
Source: keranjangsoaljawaban.blogspot.com
Sin β + sin 2 β. Topik yang dibahas penggunaan rumus jumlah dan selisih sudut. Contoh soal trigonometri kelas 11 beserta jawabannya. Contoh soal dan jawaban persamaan trigonometri kelas 11. 1 dengan menggunakan rumus penjumlahan dua sudut tentukan nilai dari:
Source: jankemichala.blogspot.com
Jika α sudut lancip dan cos α = 4/5 , hitunglah tan 2α. Contoh soal dan jawaban trigonometri kelas 10. Contoh soal dan pembahasan gaya geser dan momen lentur; Tan 2a = tan (a + a) rumus: Jika α sudut lancip dan cos α = 4/5 , hitunglah tan 2α.
Source: ilmusosial.id
17++ contoh soal matriks trigonometri. Identitas trigonometri lengkap pengertian rumus contoh soal. Sebelum menjawab pertanyaan sebutkan contoh soal limit trigonometri terbaru kelas 11 12 , kita akan membahas terlebih dahulu tentang pengertian limit trigonometri,rumus limit trigonometri. Soal fungsi trigonometri juga dibahas. Langsung saja kita simak soal di.
Source: soalsoaltes.blogspot.com
Dengan menggunakan rumus tan (a + b), untuk a = b diperoleh: 11 trigonometri rumus sudut rangkap. Contoh soal matematika peminatan kelas 11 trigonometri soalkunci. Identitas trigonometri dapat diartikan sebagai persamaan yang menghubungkan perbandingan trigonometri tertentu. Identitas trigonometri lengkap pengertian rumus contoh soal.
Source: sainsseru.com
Soal hots trigonometri matematika peminatan kelas xi. Contoh soal dan pembahasan fluida statis dan dinamis; Jika diketahui x sin α sin β dan y cos α cos β maka nilai terbesar x 2 y 2 tercapai saat. Contoh soal materi trigonometri kelas 11 contoh soal trigonometri kelas 11 smk. Penyelesaian persamaan cosx=−12√3 untuk 0∘≤x≤360∘ adalah.
Source: brightideasbookspdf.blogspot.com
Diketahui sin x = 3/5 dengan sudut x adalah lancip. Selain menyertakan contoh soal, kami juga memberikan anda jawaban yang tepat. Berikut ini kami sajikan contoh soal persamaan trigonometri kelas 11 dan pembahasannya secara lengkap untuk anda pelajari. Jika sin (x + 30⁰) = sin x, buktikan bahwa tan x = 2 + √3. Daftar bintang dan daftar nilai siswa kelas xi mipa juli 14 2020.
Source: slideshare.net
Contoh soal cerita trigonometri kelas 11 ruang guru dan siswa. Contoh soal dan pembahasan fluida statis dan dinamis; Kali ini kita akan membahas materi tentang matriks yang akan kita terangkan secara detail mulai dari pengertian dari matriks pengertian rumus contoh soal dan pembahasannya. Kerjakan latihan contoh soal uts trigonometri agar nilai. Titik p dan q dinyatakan dengan kordinat polar.
This site is an open community for users to share their favorite wallpapers on the internet, all images or pictures in this website are for personal wallpaper use only, it is stricly prohibited to use this wallpaper for commercial purposes, if you are the author and find this image is shared without your permission, please kindly raise a DMCA report to Us.
If you find this site value, please support us by sharing this posts to your favorite social media accounts like Facebook, Instagram and so on or you can also save this blog page with the title contoh soal trigonometri kelas 11 by using Ctrl + D for devices a laptop with a Windows operating system or Command + D for laptops with an Apple operating system. If you use a smartphone, you can also use the drawer menu of the browser you are using. Whether it’s a Windows, Mac, iOS or Android operating system, you will still be able to bookmark this website.




