Contoh Soal Trigonometri Lebih Dari 360 Derajat. 40 0) + k.360 0 1 derajat = 60 menit atau 1° = 60′ 1 menit = 60 detik atau 1′ = 60″ Hubungan dari kedua ukuran tersebut adalah : Berikut informasi sepenuhnya tentang contoh soal perbandingan trigonometri sudut berelasi.
Rumus Trigonometri Lebih Dari 360 Edukasi.Lif.co.id From edukasi.lif.co.id
Berikut informasi sepenuhnya tentang contoh soal trigonometri lebih dari 360 derajat. Previous sudut lebih dari 360 derajat. Kumpulan soal dan pembahasan trigonometri sudut berelasi. 2552020 penjelasan tentang materi turunan trigonometri beserta rumus turunan beserta pengertian dan beberapa contoh soal turunan trigonometri dan pembahasannya. Tentukan himpunan penyelesaian dari tiap persamaan trigonometri berikut ini. Himpunan penyelesaian dari sin 2 x = cos 3 x adalah (18°, 90°, 162°, 234°, 306°).
Kuadran keempat atau kuadran terakhir, di kuadran ini rentang sudutnya adalah 270 derajat sampai 360 derajat.
Kuadran keempat atau kuadran terakhir, di kuadran ini rentang sudutnya adalah 270 derajat sampai 360 derajat. Previous sudut lebih dari 360 derajat. 2 pengukuran sudut dan paralaks 21 sudut derajat dimana. Sudut istimewa lebih dari 360. Hp = {30 o ,390 o } c. Jadi pilihan yang ada 2π nya salah, hanya e yang tidak memuat 2π.
Source: jejakpelajarsekolah.blogspot.com
Tapi tenang saja, ada tips dan trik. Sin 2x 0 = sin 40 0, maka diperoleh: Himpunan penyelesaian dari persamaan trigonometri dari 0° sampai dengan 360° atau 0 sampai dengan 2π menggunakan berbagai fungsi rumus trigonometri berikut ini. Tabel nilai trigonometri sudut istimewa sampai 360°. Pelajaran, soal, & rumus trigonometri dasar.
Source: makeittsimple.blogspot.com
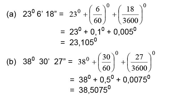
Hp = {30 o ,390 o } c. Dapatkan pelajaran, soal & rumus sudut lebih dari 360 derajat lengkap di wardaya college. From image.slidesharecdn.com rotasi adalah transformasi dengan cara memutar objek dengan titik pusat tertentu. Ada juga suku yang lebih kecil dari pada derajat, yaitu menit (‘) , detik (“). Hubungan dari kedua ukuran tersebut adalah :
Source: contohsoalku.co
Tentukan himpunan penyelesaian dari tiap persamaan trigonometri berikut ini. Himpunan penyelesaian dari sin 2 x = cos 3 x adalah (18°, 90°, 162°, 234°, 306°). 2x = 40 0 + k.360 0 atau 2x = (180 0 ? From image.slidesharecdn.com rotasi adalah transformasi dengan cara memutar objek dengan titik pusat tertentu. Sebaliknya, nilai cosinus dimulai dari 1 menjadi 0 dan kembali ke 1 begitu seterusnya.
Source: contohsoalitu.blogspot.com
Contoh soal jumlah dan selisih sudut trigonometri. Previous sudut lebih dari 360 derajat. Sudut istimewa sendiri merupakan sudutsudut yang mempunyai nilai derajat tertentu seperti 0°, 30°, 45°, 60°, 90° dan lainlain; Sin 2x 0 = sin 40 0, maka diperoleh: Rumus trigonometri dan contoh contoh soal beserta jawabannya.
Source: python-belajar.github.io
Nilai dari cos 150 derajat adalah youtube. Kuadran keempat atau kuadran terakhir, di kuadran ini rentang sudutnya adalah 270 derajat sampai 360 derajat. Hubungan dari kedua ukuran tersebut adalah : Berikut contoh soal perbandingan rasio beserta pembahasannya yaitu. Trigonometri adalah ilmu matematika yang mempelajari tentang sudut, sisi, dan perbandingan antara sudut terhadap sisi.
Source: belajarsajasoal.blogspot.com
Sebelum kita menuju ke latihan soal, akan di berikan beberapa catatan penting. Rincian jelas mengenai contoh soal trigonometri lebih dari 360 derajat. Hp = {30 o ,390 o } c. Sebelum kita menuju ke latihan soal, akan di berikan beberapa catatan penting. Ada juga suku yang lebih kecil dari pada derajat, yaitu menit (‘) , detik (“).
Source: barisancontoh.blogspot.com
Trigonometri adalah ilmu matematika yang mempelajari tentang sudut, sisi, dan perbandingan antara sudut terhadap sisi. Berikut contoh soal perbandingan rasio beserta pembahasannya yaitu. Tentukanlah nilai dari sin 75° gunakan konsep jumlah dan dua! Jadi pilihan yang ada 2π nya salah, hanya e yang tidak memuat 2π. Sebelum kita menuju ke latihan soal, akan di berikan beberapa catatan penting.
Source: barisancontoh.blogspot.com
Contoh soal bahasa inggris kelas 8 semester 2,contoh soal trigonometri lebih dari 360 derajat,contoh soal past perfect tense dan jawabannya,contoh soal matematika kelas 4 semester 2 kurikulum 2013,contoh soal uts matematika kelas 3 sd semester 2,contoh soal tes masuk teknik informatika,contoh soal plc omron dan penyelesaiannya,contoh soal tpa. Untuk lebih memahami tentang jumlah dan selisih sudut trigonometri, berikut adalah contoh tentang dan pembahasaannya! Berikut informasi sepenuhnya tentang contoh soal perbandingan trigonometri sudut berelasi. Hitunglah nilai dari cos 240 derajat. 2x = 40 0 + k.360 0 atau 2x = (180 0 ?
Source: edukasi.lif.co.id
Tapi tenang saja, ada tips dan trik. Untuk lebih jelasnya simaklah contoh soal berikut contoh 1. Lebih khususnya trigonometri pada sudut istimewa. Dapatkan pelajaran soal rumus sudut lebih dari 360 derajat lengkap di wardaya college. Tolong bantu saya nanti malam di kumpul.
Source: edukasi.lif.co.id
Sin 2x 0 = sin 40 0, jika x dalam interval 0 ? Hp = {30 o ,150 o } b. Lebih khususnya trigonometri pada sudut istimewa. Untuk 0° ≤ x ≤ 360° tentukan himpunan penyelesaian dari sin x = ½. Untuk lebih jelasnya simaklah contoh soal berikut contoh 1.
Source: contohsoalitu.blogspot.com
Contoh soal turunan fungsi trigonometri. Trigonometri adalah ilmu matematika yang mempelajari tentang sudut, sisi, dan perbandingan antara sudut terhadap sisi. Ditulis minggu, 04 agustus 2019 tulis komentar. Sin 2x 0 = sin 40 0, maka diperoleh: Sudut istimewa sendiri merupakan sudutsudut yang mempunyai nilai derajat tertentu seperti 0°, 30°, 45°, 60°, 90° dan lainlain;
Source: barisancontoh.blogspot.com
1 derajat = 60 menit atau 1° = 60′ 1 menit = 60 detik atau 1′ = 60″ Himpunan penyelesaian dari persamaan trigonometri dari 0° sampai dengan 360° atau 0 sampai dengan 2π menggunakan berbagai fungsi rumus trigonometri berikut ini. 2552020 penjelasan tentang materi turunan trigonometri beserta rumus turunan beserta pengertian dan beberapa contoh soal turunan trigonometri dan pembahasannya. = 2 sin ½ (102)° cos ½ (90)°. Ditulis minggu, 04 agustus 2019 tulis komentar.
Source: contohsoalitu.blogspot.com
Trigonometri adalah ilmu matematika yang mempelajari tentang sudut, sisi, dan perbandingan antara sudut terhadap sisi. Tentukanlah nilai dari sin 75° gunakan konsep jumlah dan dua! Contoh soal turunan fungsi trigonometri. Untuk lebih jelasnya simaklah contoh soal berikut contoh 1. Untuk lebih memahami tentang jumlah dan selisih sudut trigonometri, berikut adalah contoh tentang dan pembahasaannya!
Source: zona-ue.blogspot.com
Jika sin px = sin a dengan p dan a dalah konstanta, maka. Dimana catatan ini akan digunakan untuk menjawab soal nantinya. Hp = {30 o ,390 o } c. Jika sin px = sin a dengan p dan a dalah konstanta, maka. Sudut istimewa lebih dari 360.
Source: youtube.com
Contoh soal trigonometri pada sudut istimewa mathematics. Dapatkan pelajaran soal rumus sudut lebih dari 360 derajat lengkap di wardaya college. Hp = {30 o ,480 o } = 2 sin ½ (102)° cos ½ (90)°. Sudut dalam derajat matematika pengukuran sudut pengukuran sudut pada materi 1 ini anda akan mempelajari pengertian pengukuran sudut.
Source: contohsoalku.co
2 pengukuran sudut dan paralaks 21 sudut derajat dimana. Ukuran derajat adalah ukuran yang dapat dibentuk pada bidang datar dengan satuan (°) menggambarkan 1/360 dari putaran penuh. Termasuk sudut yang lebih dari 360° dan sudut. Kuadran keempat atau kuadran terakhir, di kuadran ini rentang sudutnya adalah 270 derajat sampai 360 derajat. Sudut dalam derajat matematika pengukuran sudut pengukuran sudut pada materi 1 ini anda akan mempelajari pengertian pengukuran sudut.
Source: barucontohsoal.blogspot.com
Ukuran derajat adalah ukuran yang dapat dibentuk pada bidang datar dengan satuan (°) menggambarkan 1/360 dari putaran penuh. Rumus trigonometri dan contoh contoh soal beserta jawabannya. Himpunan penyelesaian dari sin 2 x = cos 3 x adalah (18°, 90°, 162°, 234°, 306°). Kumpulan soal dan pembahasan trigonometri sudut berelasi. Tentukanlah nilai dari sin 75° gunakan konsep jumlah dan dua!
Source: barisancontoh.blogspot.com
Pembuktian sudut berelasi dan contoh soal. Lihat bahwa beberapa sudut memiliki nilai sinus atau cosinus yang sama tapi sebagian berbeda tanda. Dapatkan pelajaran soal rumus sudut lebih dari 360 derajat lengkap di wardaya college. Untuk lebih jelasnya simaklah contoh soal berikut contoh 1. Pada tabel di bawah ini, perhatikan bahwa nilai sinus dimulai dari 0 menjadi 1 dan kembali lagi ke 0.
This site is an open community for users to do submittion their favorite wallpapers on the internet, all images or pictures in this website are for personal wallpaper use only, it is stricly prohibited to use this wallpaper for commercial purposes, if you are the author and find this image is shared without your permission, please kindly raise a DMCA report to Us.
If you find this site adventageous, please support us by sharing this posts to your own social media accounts like Facebook, Instagram and so on or you can also save this blog page with the title contoh soal trigonometri lebih dari 360 derajat by using Ctrl + D for devices a laptop with a Windows operating system or Command + D for laptops with an Apple operating system. If you use a smartphone, you can also use the drawer menu of the browser you are using. Whether it’s a Windows, Mac, iOS or Android operating system, you will still be able to bookmark this website.



