Perkalian Sinus Dan Cosinus. Dalam perkalian materi trigonometri tersebut terdapat ketentuan ketentuan seperti perkalian sin dengan cos, cos dengan cos, sin dengan sin dan cos dengan sin. Rumus perkalian sinus dan kosinus 1. Agar lebih mudah dipahami, kita langsung saja ke pembahasan. Jika α sudut lancip dan sin α = 4/5 , hitunglah tan 2α.
RUMUS JUMLAH DAN SELISIH SINUS DAN COSINUS MM YouTube From youtube.com
Aturan sinus dan cosinus adalah salah satu topik pelajaran matematika sma kelas 10 semerter 2. Pada kegiatan pembelajaran pertama, kita akan mencari rumus jumlah dan selisih dua sudut dari sinus dan cosinus. Perkalian sinus dan cosinus 2. Jumlah dan selisih sinus, cosinus atau tangen untuk menentukan nilai dari sudut sinus, cosinus maupun tangen dan kebalikannya yang tidak istimewa dan dapat menyelesaikan masalah yang berkaitan dengan hal tersebut. Sin 72°cos 144°sin 216° = 2 sin 72°[2 sin 216°cos 144°] = 2 sin 72°[sin 360° + sin 72°]. Berikut adalah rumus penjumlahan dan.
Rumus jumlah dan selisih sinus dan kosinus merupakan bentuk manipulasi dari rumus hasil kali sinus dan kosinus yang telah dibahas sebelumnya.
Berikut adalah rumus penjumlahan dan. Rumus yang berlaku pada perkalian sinus dan cosinus sebagai berikut: Berikut hasil pengurangan kedua rumus tersebut. Rumusnya terlihat panjang dan rumit namun ada trik menghafal. Pada kegiatan pembelajaran pertama, kita akan mencari rumus jumlah dan selisih dua sudut dari sinus dan cosinus. Jika diketahui besar sudut α sebesar 75 dan besar sudut β sebesar 15.
Source: sainsseru.com
Dari rumus jumlah dan selisih dua sudut, dapat diperoleh rumus sebagai berikut: Akan tetapi anda harus memahami juga mengenai aturan sinus, cosinus,. Agar lebih mudah dipahami, kita langsung saja ke pembahasan. Berikut adalah rumus penjumlahan dan. Rumus dari perkalian sinus dan cosinus diantaranya:
Source: sainsseru.com
Rumus dari perkalian sinus dan cosinus diantaranya: Dalam perkalian materi trigonometri tersebut terdapat ketentuan ketentuan seperti perkalian sin dengan cos, cos dengan cos, sin dengan sin dan cos dengan sin. Rumus jumlah dan selisih sinus dan kosinus merupakan bentuk manipulasi dari rumus hasil kali sinus dan kosinus yang telah dibahas sebelumnya. Misalkan diketahui dua sudut yaitu a dan b, berikut rumus perkalian antara sinus dan cosinus pada sudut a dan b : Rumus trigonometri jumlah dan selisih dua sudut.
Source: shareitnow.me
Sin 2a = sin (a + b) = sin a cos a + cos a sin a = 2 sin a cos a rumus yang berlaku pada perkalian sinus dan cosinus sebagai berikut: Pembuktian rumus tersebut bisa didapatkan dengan menjumlahkan rumus jumlah dan selisih dua sudut fungsi cosinus. Perhatikan contoh soal menggunakan bentuk perkalian sinus dan cosinus berikut. Rumus perkalian trigonometri untuk sinus dan cosinus. Nah, berikut ini penjelasan mengenai penjumlahan dan pengurangan sinus dan.
Source: ahlisoal.blogspot.com
Pada kegiatan pembelajaran pertama, kita akan mencari rumus jumlah dan selisih dua sudut dari sinus dan cosinus. Jika α sudut lancip dan sin α = 4/5 , hitunglah tan 2α. Misalkan diketahui dua sudut yaitu a dan b, berikut rumus perkalian antara sinus dan cosinus pada sudut a dan b : Materi mengenai rumus perkalian sinus dan cosinus merupakan salah satu bagian dari bab trigonometri yang biasanya dipelajari di kelas xi. Akan tetapi anda harus memahami juga mengenai aturan sinus, cosinus,.
Source: barucontohsoal.blogspot.com
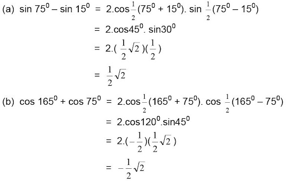
Agar lebih mudah dipahami, kita langsung saja ke pembahasan. Rumus perkalian sinus dan kosinus sin b jika diketahui a = 75° dan b = 15° jawab: Misalkan diketahui dua sudut yaitu a dan b, berikut rumus perkalian antara sinus dan cosinus pada sudut a dan b : Sin a + sin b = 2.sin ½(a + b). Nomor 1 diketahui (a + b) = π/3 dan sin a sin b = 5/4.
Source: contohsoalunbk-04.blogspot.com
Membuktikan rumus perkalian sinus dan cosinus dengan tepat 3. Akan tetapi anda harus memahami juga mengenai aturan sinus, cosinus,. Misalkan diketahui dua sudut yaitu a dan b, berikut rumus perkalian antara sinus dan cosinus pada sudut a dan b : Di dalam materi trigonometri selain mempelajari tentang rumus perkalian sinus dan cosinus, ada juga rumus penjumlahan dan pengurangan sinus. Perhatikan contoh soal menggunakan bentuk perkalian sinus dan cosinus berikut.
Source: bagicontohsoal.blogspot.com
Rumusnya terlihat panjang dan rumit namun ada trik menghafal. Akan tetapi anda harus memahami juga mengenai aturan sinus, cosinus,. Materi mengenai rumus perkalian sinus dan cosinus merupakan salah satu bagian dari bab trigonometri yang biasanya dipelajari di kelas xi. Nah, berikut ini penjelasan mengenai penjumlahan dan pengurangan sinus dan. Membuktikan rumus perkalian sinus dan cosinus dengan tepat 3.
Source: sin-tan-c0s.blogspot.com
Nah, berikut ini penjelasan mengenai penjumlahan dan pengurangan sinus dan. Menetukan nilai trigonometri dengan menggunakan rumus perkalian sinus dan cosinus 4. Rumusnya terlihat panjang dan rumit namun ada trik menghafal. Perkalian sinus dan sinus ; Rumus trigonometri jumlah dan selisih dua sudut.
Source: youtube.com
Akan tetapi anda harus memahami juga mengenai aturan sinus, cosinus,. Secara umum trigonometri mengandung beberapa hal di dalamnya seperti cosinus, cosecan, cotangen, sinus, tangen dan secan. Sin (α + β) = sin α cos β + cos α sin β. Sinacosb = 1 2[sin(a + b) + sin(a − b)] cosasinb = 1 2[sin(a + b) − sin(a − b)] cosacosb = 1 2[cos(a + b) + cos(a − b)] sinasinb = − 1 2[cos(a + b) − cos(a − b)] pembuktian rumus. Di dalam materi trigonometri selain mempelajari tentang rumus perkalian sinus dan cosinus, ada juga rumus penjumlahan dan pengurangan sinus.
Source: contohsoalterbaik.blogspot.com
Jika α sudut lancip dan sin α = 4/5 , hitunglah tan 2α. Jumlah dan selisih sinus, cosinus atau tangen untuk menentukan nilai dari sudut sinus, cosinus maupun tangen dan kebalikannya yang tidak istimewa dan dapat menyelesaikan masalah yang berkaitan dengan hal tersebut. Secara umum trigonometri mengandung beberapa hal di dalamnya seperti cosinus, cosecan, cotangen, sinus, tangen dan secan. Pada kesempatan kali ini saya akan berbagi tentang trigonometri: Sin 72°cos 144°sin 216° = 2 sin 72°[2 sin 216°cos 144°] = 2 sin 72°[sin 360° + sin 72°].
Source: youtube.com
Pembuktian rumus tersebut bisa didapatkan dengan menjumlahkan rumus jumlah dan selisih dua sudut fungsi cosinus. Sinacosb = 1 2[sin(a + b) + sin(a − b)] cosasinb = 1 2[sin(a + b) − sin(a − b)] cosacosb = 1 2[cos(a + b) + cos(a − b)] sinasinb = − 1 2[cos(a + b) − cos(a − b)] pembuktian rumus. Pada tulisan ini akan dijelaskan mengenai pembuktian rumus penjumlahan dan pengurangan fungsi trigonometri, sebelumnya sudah dijelaskan pula mengenai pembuktian rumus perkalian trigonometri sinus dan cosinus, jika belum membacanya sebaikanya kamu baca dulu tulisan tersebut karena ada kaitannya. Pada kegiatan pembelajaran pertama, kita akan mencari rumus jumlah dan selisih dua sudut dari sinus dan cosinus. Menyelesaikan masalah yang berkaitan dengan rumus perkalian sinus dan cosinus setelah melakukan kegiatan diskusi, peserta didik dapat menyelesaiakan masalah untuk
Source: youtube.com
Sin 72°cos 144°sin 216° = 2 sin 72°[2 sin 216°cos 144°] = 2 sin 72°[sin 360° + sin 72°]. Berikut adalah rumus penjumlahan dan. Perkalian sinus dan sinus ; Rumus yang berlaku pada perkalian sinus dan cosinus sebagai berikut: Pada kesempatan kali ini saya akan berbagi tentang trigonometri:
Source: aciknadzirah.blogspot.com
Aturan sinus dan cosinus adalah salah satu topik pelajaran matematika sma kelas 10 semerter 2. Titik koordinat a dan b di atas diperoleh berdasarkan fungsi sinus dan cosinus. Akan tetapi anda harus memahami juga mengenai aturan sinus, cosinus,. Perkalian sinus dan sinus ; Sin 72°cos 144°sin 216° = 2 sin 72°[2 sin 216°cos 144°] = 2 sin 72°[sin 360° + sin 72°].
Source: barisancontoh.blogspot.com
Perkalian sinus dan sinus ; Membuktikan rumus perkalian sinus dan cosinus dengan tepat 3. Rumus perkalian sinus dan kosinus 1. Agar lebih mudah dipahami, kita langsung saja ke pembahasan. Bentuk perkalian cosinus dan cosinus bisa dikerjakan dengan menggunakan rumus berikut.
Source: sheetmath.com
Pada tulisan ini akan dijelaskan mengenai pembuktian rumus penjumlahan dan pengurangan fungsi trigonometri, sebelumnya sudah dijelaskan pula mengenai pembuktian rumus perkalian trigonometri sinus dan cosinus, jika belum membacanya sebaikanya kamu baca dulu tulisan tersebut karena ada kaitannya. Perkalian sinus dan cosinus 2. Di dalam materi trigonometri selain mempelajari tentang rumus perkalian sinus dan cosinus, ada juga rumus penjumlahan dan pengurangan sinus. Pada kesempatan kali ini saya akan berbagi tentang trigonometri: Sin a + sin b = 2.sin ½(a + b).
Source: pemudabersatu.com
Rumus perkalian sinus dan kosinus sin b jika diketahui a = 75° dan b = 15° jawab: Perkalian sinus dan cosinus 2. Dalam perkalian materi trigonometri tersebut terdapat ketentuan ketentuan seperti perkalian sin dengan cos, cos dengan cos, sin dengan sin dan cos dengan sin. Pada segitiga abc diketahui panjang sisi ab = 7 cm, bc = 4 cm dan ∠abc = 120°. Perhatikan contoh soal menggunakan bentuk perkalian sinus dan cosinus berikut.
Source: youtube.com
Secara umum trigonometri mengandung beberapa hal di dalamnya seperti cosinus, cosecan, cotangen, sinus, tangen dan secan. Rumus dari perkalian sinus dan cosinus diantaranya: Berikut adalah rumus penjumlahan dan. Materi perkalian trigonometri ini mengandung beberapa ketentuan di dalamnya seperti perkalian sin dengan sin, sin dengan cos, cos dengan sin ataupun cos dengan cos. Baik jika kita tuliskan kembali rumus perkalian sinus dan cosinus, maka rumusnya adalah sebagai berikut.
Source: soal-soal-kelas.blogspot.com
Rumus perkalian sinus dan cosinus merupakan bagian dari trigonometri yang dipelajari di kelas xi. Rumus perkalian trigonometri untuk sinus dan cosinus. Aturan sinus dan cosinus adalah salah satu topik pelajaran matematika sma kelas 10 semerter 2. Dari rumus jumlah dan selisih dua sudut, dapat diperoleh rumus sebagai berikut: Secara umum trigonometri mengandung beberapa hal di dalamnya seperti cosinus, cosecan, cotangen, sinus, tangen dan secan.
This site is an open community for users to share their favorite wallpapers on the internet, all images or pictures in this website are for personal wallpaper use only, it is stricly prohibited to use this wallpaper for commercial purposes, if you are the author and find this image is shared without your permission, please kindly raise a DMCA report to Us.
If you find this site convienient, please support us by sharing this posts to your preference social media accounts like Facebook, Instagram and so on or you can also bookmark this blog page with the title perkalian sinus dan cosinus by using Ctrl + D for devices a laptop with a Windows operating system or Command + D for laptops with an Apple operating system. If you use a smartphone, you can also use the drawer menu of the browser you are using. Whether it’s a Windows, Mac, iOS or Android operating system, you will still be able to bookmark this website.



