Rpp Kerja Proyek Tkj. 19630503 198803 1011 lelea, juli 2020 guru mata pelajaran ana kristiani, s.kom, m.pd nip. Buku produk kreatif dan kewirausahaan kelas xii smk pdf download rpp produk kreatif dan kewirausahaan kurikulum 2013. 4.1 membuat kelompok kerja proyek yang terdiri dari 4 sampai 5 peserta didik. Demikian proposal yang kami ajukan, semoga proposal ini bisa disetujui sehingga kerja sama dapat terwujud dan proyek ini cepat bisa terealisasikan.
Rpp IPA kls vii semester 2 From slideshare.net
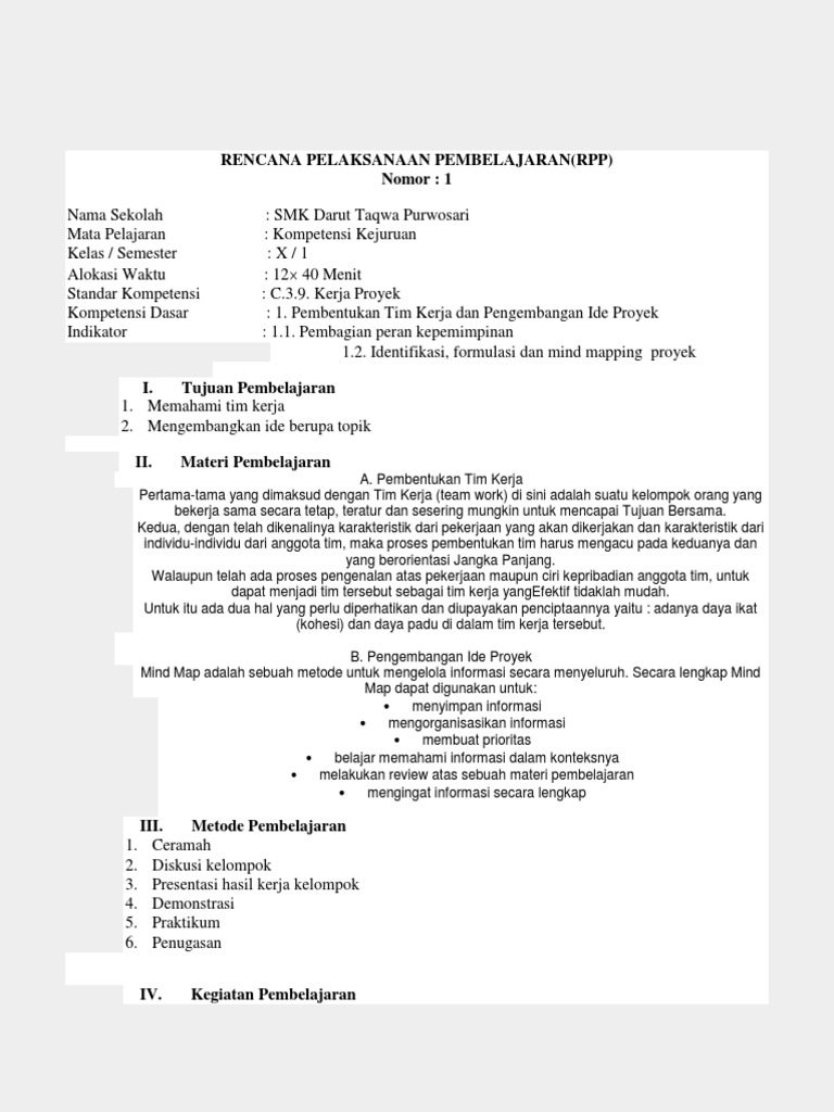
Pengembangan ide proyek • identifikasi proyek • formulasi proyek • mind mapping absensi : Silabus dan rpp smk tkj kurikulum 2013 revisi terbaru lengkap. Kebutuhan akses internet semakin meningkat dikalangan : Bab 1 pembentukan tim kerja. 19630503 198803 1011 lelea, juli 2020 guru mata pelajaran ana kristiani, s.kom, m.pd nip. Menambah iventaris khususnya jurusan tkj di smk negeri 1 slawi.
1) sebagai bahan penilaian tugas akhir mata pelajaran kerja proyek di jurusan tkj smk negeri 1 slawi tahun pelajaran 201 8.
Kebutuhan akses internet semakin meningkat dikalangan : 4.1 membuat kelompok kerja proyek yang terdiri dari 4 sampai 5 peserta didik. Demikian proposal yang kami ajukan, semoga proposal ini bisa disetujui sehingga kerja sama dapat terwujud dan proyek ini cepat bisa terealisasikan. Rpp kerja proyek tkj kurikulum 2013.silahkan download silabus tkj kurikulum 2013 revisi 2017 berikut. Tak lupa penulis menyampaikan ucapan terima kasih kepada yang terhormat : Perkantoran, pendidikan, pemerintahan,bisnis dan rumah.
Source: davidbrok2001.blogspot.com
4.1 membuat kelompok kerja proyek yang terdiri dari 4 sampai 5 peserta didik. Buku cetak tkj kurikulum 2013 download disini. 3.2 mengembangkan ide2 yang berupa topik2. Full pdf package download full pdf package. Memahami sistem bilangan (desimal, biner, oktal, heksadesimal) 4.1 menggunakan sistem bilangan (desimal, biner, oktal, heksadesimal) dalam memecahkan masalah konversi
Source: findsiswabelajar.blogspot.com
Teknik komputer dan jaringan (tkj) merupakan model pendidikan kejuruan yang berbasis teknologi informasi dan komunikasi. Silabus dan rpp smk tkj kurikulum 2013 revisi terbaru lengkap. Terlepas dari semua itu, kami menyadari sepenuhnya bahwa masih ada kekurangan baik dari segi susunan kalimat maupun tata bahasanya. Buku produk kreatif dan kewirausahaan kelas xii smk pdf download rpp produk kreatif dan kewirausahaan kurikulum 2013. 01 sekolah mata pelajaran kls/program/semester tahun pelajaran standar kompetensi kompetensi dasar indikator alokasi waktu :
Source: scribd.com
Memahami sistem bilangan (desimal, biner, oktal, heksadesimal) 4.1 menggunakan sistem bilangan (desimal, biner, oktal, heksadesimal) dalam memecahkan masalah konversi Bab 1 pembentukan tim kerja. 19630503 198803 1011 lelea, juli 2020 guru mata pelajaran ana. Untuk membantu memudahkan kegiatan belajar mengajar. 3.1 memahami tim kerja proyek yang terdir dari 4 sampai 5 peserta didik.
Source: planetsoalku.blogspot.com
Proposal proyek “penerapan captive portal dalam hotspot login mikrotik menggunakan facebook” untuk memenuhi salah satu tugas kompetensi dasar pemateri : Pengembangan ide proyek • identifikasi proyek • formulasi proyek • mind mapping absensi : Alife zinedine riza 25907 arham izza syany 25909 happy widayanto 25931 ilham. 3.2 mengembangkan ide2 yang berupa topik2. Proposal proyek kerja ini berjudul “pc style board”.
Source: fusewiring.blogspot.com
Alife zinedine riza 25907 arham izza syany 25909 happy widayanto 25931 ilham. Semoga proyek ini bisa bermanfaat untuk menambah kinerja. Penilaian ketrampilan berupa penilaian unjuk kerja, penilaian proyek, penilaian produk dan penilaian portofolio. Muhammad haekal, s.kom selaku ketua paket keahlian tkj (teknik komputer dan jaringan) 2. Buku cetak tkj kurikulum 2013 download disini.
Source: scribd.com
Untuk membantu memudahkan kegiatan belajar mengajar. Contoh proposal kerja proyek tkj (teknik komputer jaringan) download. Untuk memenuhi tugas mapel kerja proyek kelas xii tkj tahun ajaran 2017/2018. Rpp tkj kurikulum 2013 1. Kebutuhan pelanggan • permintaan pelanggan atas proyek • pangsa pasar proyek • faktor lingkungan eksternal absensi :
Source: slideshare.net
Contoh modul kerja proyek xii download disini pdf dan download disini word 6. Rpp kerja proyek tkj kurikulum 2013.silahkan download silabus tkj kurikulum 2013 revisi 2017 berikut. Untuk membantu memudahkan kegiatan belajar mengajar. Proposal proyek kerja ini berjudul “pc style board”. Rpp dengan versi komponen lengkap, baru belajar mengabstraksikan menjadi rpp 1 lembar.
Source: ruangsoalengkap.blogspot.com
Teknik komputer dan jaringan saat ini keberadaannya sudah mulai terlihat dimata publik, dimana jurusan ini merupakan jurusan yang sudah mendekati ilmu. Untuk memenuhi tugas mapel kerja proyek kelas xii tkj tahun ajaran 2017/2018. Pengembangan ide proyek • identifikasi proyek • formulasi proyek • mind mapping absensi : Tak lupa penulis menyampaikan ucapan terima kasih kepada yang terhormat : Lihat rpp unduh rpp salin.
Source: listsiswabelajar.blogspot.com
Program kerja secara umum terdiri dari rencana kerja dan rencana anggaran biaya. Mengetahui bagaimana cara membuat proyektor sederhana dari kardus untuk menunjang proses kbm di jurusan tkj smk n 1 slawi. Rpp, rpp 1 lembar, rpp mata pelajaran ips a. Nilai bukti kerja proyek 4. Search the world's information, including webpages, images, videos and more.
Source: tribunnewss.github.io
Rpp mata pelajaran sistem komputer smk jurusan teknik komputer dan jaringan (tkj) untuk materi sistem bilangan. 19630503 198803 1011 lelea, juli 2020 guru mata pelajaran ana kristiani, s.kom, m.pd nip. Semoga bermanfaat dan mohon di sharee ke guru guru lain yang membutuhkannya. Google has many special features to help you find exactly what you're looking for. Kebutuhan akses internet semakin meningkat dikalangan :
Source: judulsiswa.blogspot.com
Pendahuluan kebijakan rpp 1 lembar merupakan upaya penyederhanaan skenario pembelajaran yang dibuat oleh guru sebelumnya yang isinya banyak lembar, jika dihitung 01 sekolah mata pelajaran kls/program/semester tahun pelajaran standar kompetensi kompetensi dasar indikator alokasi waktu : Menambah iventaris khususnya jurusan tkj di smk negeri 1 slawi. Google has many special features to help you find exactly what you're looking for. Modul kerja proyek ini merupakan kumpulan artikel kerja proyek yang telah kami susun sebelumnya.
Source: berbagimengajar.blogspot.com
Rpp tkj kurikulum 2013 1. Menambah iventaris khususnya jurusan tkj di smk negeri 1 slawi. Program kerja secara umum terdiri dari rencana kerja dan rencana anggaran biaya. Google has many special features to help you find exactly what you're looking for. Perkantoran, pendidikan, pemerintahan,bisnis dan rumah.
Source: listsiswabelajar.blogspot.com
Kelas xi tkj k13 revisi 2017. Terlepas dari semua itu, kami menyadari sepenuhnya bahwa masih ada kekurangan baik dari segi susunan kalimat maupun tata bahasanya. Contoh modul kerja proyek xii download disini pdf dan download disini word 6. Beberapa masalah utama dinamika tim kerja. Menginstalasi pc merencanakan kebutuhan dan spesifikasi menginstalasi komponen pc.
Source: excel.berkassekolah.com
Google has many special features to help you find exactly what you're looking for. Untuk membantu memudahkan kegiatan belajar mengajar. Kebutuhan akses internet semakin meningkat dikalangan : Bab 1 pembentukan tim kerja. Pengembangan ide proyek • identifikasi proyek • formulasi proyek • mind mapping absensi :
Source: scribd.com
Beberapa masalah utama dinamika tim kerja. Rpp, rpp 1 lembar, rpp mata pelajaran ips a. Rpp dengan versi komponen lengkap, baru belajar mengabstraksikan menjadi rpp 1 lembar. Rpp kerja proyek tkj kurikulum 2013.silahkan download silabus tkj kurikulum 2013 revisi 2017 berikut. Silabus dan rpp smk tkj kurikulum 2013 revisi terbaru lengkap.
Source: listsiswabelajar.blogspot.com
Proposal proyek “penerapan captive portal dalam hotspot login mikrotik menggunakan facebook” untuk memenuhi salah satu tugas kompetensi dasar pemateri : 19630503 198803 1011 lelea, juli 2020 guru mata pelajaran ana. Proposal proyek “penerapan captive portal dalam hotspot login mikrotik menggunakan facebook” untuk memenuhi salah satu tugas kompetensi dasar pemateri : Selanjutnya, model tcp/ip dikembangkan departemen pertahanan usa (dod) pada tahun 1981 (cisco.netacad.net, ch9, s1) dengan tujuan ingin menciptakan. Kurikulum2013 kelas xii kelas xi materi pelajaran pemrograman dasar artikel tkj modul sistem komputer praktikum kelas x rangkuman download troubleshooting jaringan rancang bangun jaringan k13 revisi 2017 komputer terapan soal soaljawaban kerja proyek desain keamanan jaringan remidi soal essay inovasi inspirasi rpp workshop revisi silabus.
Source: findsiswabelajar.blogspot.com
Menginstalasi pc merencanakan kebutuhan dan spesifikasi menginstalasi komponen pc. Modul kerja proyek ini merupakan kumpulan artikel kerja proyek yang telah kami susun sebelumnya. Rpp kerja proyek tkj kurikulum 2013.silahkan download silabus tkj kurikulum 2013 revisi 2017 berikut. Program kerja secara umum terdiri dari rencana kerja dan rencana anggaran biaya. Perkantoran, pendidikan, pemerintahan,bisnis dan rumah.
Source: rppsekolahbaru.blogspot.com
Rpp kerja proyek tkj kurikulum 2013.silahkan download silabus tkj kurikulum 2013 revisi 2017 berikut. Rpp dengan versi komponen lengkap, baru belajar mengabstraksikan menjadi rpp 1 lembar. Pengembangan ide proyek • identifikasi proyek • formulasi proyek • mind mapping absensi : Penilaian ketrampilan berupa penilaian unjuk kerja, penilaian proyek, penilaian produk dan penilaian portofolio. Program kerja secara umum terdiri dari rencana kerja dan rencana anggaran biaya.
This site is an open community for users to do submittion their favorite wallpapers on the internet, all images or pictures in this website are for personal wallpaper use only, it is stricly prohibited to use this wallpaper for commercial purposes, if you are the author and find this image is shared without your permission, please kindly raise a DMCA report to Us.
If you find this site convienient, please support us by sharing this posts to your own social media accounts like Facebook, Instagram and so on or you can also save this blog page with the title rpp kerja proyek tkj by using Ctrl + D for devices a laptop with a Windows operating system or Command + D for laptops with an Apple operating system. If you use a smartphone, you can also use the drawer menu of the browser you are using. Whether it’s a Windows, Mac, iOS or Android operating system, you will still be able to bookmark this website.





