Rumus Angka Baku. Rumus bentuk notasi baku bilangan besar sebagai berikut : Tidak memiliki membran inti d. Posting lebih baru posting lama. Tentukan jumlah sampel untuk populasi yang tidak diketahui jumlahnya dengan tingkat kepercayaan 90%, simpangan baku 50%, dan margin kesalahan 3%.
Contoh Soal Angka Baku Beserta Jawabannya Contoh Soal From barucontohsoal.blogspot.com
Penulisan bilangan lebih dari atau sama dengan 10 jika bilangan lebih dari 10 tidak memiliki koma (bukan decimal), maka tambahkan koma dibelakang angka yang paling belakang. Contoh soal angka baku beserta jawabannya. Sedangkan kegunaan angka baku tersebut adalah untuk mengetahui perbedaan suatu kejadian dibanding dengan kebiasaannya. Rumus bentuk notasi baku bilangan kecil sebagai berikut : Berdasarkan rumus di atas, dapat kamu ketahui kalau bentuk baku ditulis sebagai perkalian antara dua faktor. Sementara angka yang mendekati 3 menunjukkan sebuah perusahaan memiliki kondisi keuangan yang solid.
(a) tanda (bisa positif atau negatif), (b.
Terima kasih telah berkunjung ke blog contoh soal terbaru 2019. 20200501 100 contoh soal cpns seleksi kompetensi dasar skd dan pembahasannya update januari 2020 oleh deddys januari 14 2020 77 komentar. Sebelum membahas mengenai rumus simpangan baku, ada beberapa hal yang harus kita ketahui, yaitu nilai deviasi standar dari kumpulan data = 0 atau lebih besar dan lebih kecil dari nol (0). Rumus bentuk notasi baku bilangan besar sebagai berikut : Penulisan bilangan lebih dari atau sama dengan 10 jika bilangan lebih dari 10 tidak memiliki koma (bukan decimal), maka tambahkan koma dibelakang angka yang paling belakang. Rumus dan cara penulisan notasi ilmiah.
Source: berbagaicontoh.com
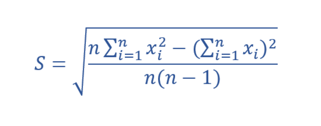
Faktor pertama merupakan suatu bilangan yang lebih besar atau sama dengan 1 namun kurang dari 10 (1 ≤ a < 10) dan faktor kedua merupakan bilangan berpangkat n dengan bilangan pokoknya, yaitu 10. Untuk tingkat kepercayaan 90%, skor z yang digunakan adalah 1,65. Sementara angka yang mendekati 3 menunjukkan sebuah perusahaan memiliki kondisi keuangan yang solid. Lalu gunakan pangkat positif jika titik decimal di. [s=\sqrt{s^2}] oleh karena itu, jika salah satu nilai dari kedua ukuran tersebut diketahui maka akan diketahui juga nilai ukuran yang lain.
Source: rumusmatematika.id
Sementara angka yang mendekati 3 menunjukkan sebuah perusahaan memiliki kondisi keuangan yang solid. Rumus bentuk notasi baku bilangan kecil sebagai berikut : A) angka baku (z) angka baku (nilai standar) adalah suatu perubahan yang digunakan untukmembandingkan dua keadaan atau lebih. Rumus dan cara penulisan notasi ilmiah. Simpangan baku by widya ayunda pratiwi posted on december 4, 2021 simpangan baku dalam statistik, biasanya dilambangkan dengan σ , adalah ukuran variasi atau dispersi (mengacu pada tingkat peregangan atau pemerasan distribusi) di selengkapnya
Source: slideserve.com
Apabila nilainya sama dengan nol (0), maka seluruh nilai yang ada dalam suatu himpunan tersebut adalah sama. Ganti notasi variabel dengan angka yang anda gunakan untuk survei. Z skor mempunyai dua bagian : Ketika kita belajar statistika sma kelas xi kita pasti jumpai yang namanya simpangan baku. 20200501 100 contoh soal cpns seleksi kompetensi dasar skd dan pembahasannya update januari 2020 oleh deddys januari 14 2020 77 komentar.
Source: mp3base.net
Tidak memiliki membran inti d. Contoh soal angka baku beserta jawabannya. Jika ada sedang mencari contoh soal angka baku beserta jawabannya. Contoh soal angka baku dalam kehidupan sehari hari beserta jawabannya. Rumus bentuk notasi baku bilangan besar sebagai berikut :


