Soal Dan Pembahasan Matematika Peminatan Kelas 11. Penulis mengarsipkannya sebagai bahan referensi untuk belajar. Soal uas kelas 11 matematika wajib semester 1 soal uas kelas 11 pai semester 1 soal uas matematika peminatan kelas xi semester 1 yang aku bagikan ini berformat doc dan sanggup di edit kembali sesuai kebutuhan bapak/ibu guru sebagai contoh maupun bahan acuan dalam pembuatan latihan soal uas matematika peminatan kelas 11 semester 1 kurikulum 2013. Jadi jangan lupa tonton sampai habis like subscribe dan. Terima kasih telah download soal uasbn mtk peminatan smasmk dan kunci jawaban di web kami sebagai ucapan terimakasih silahkan like fanepage facebook kami dan tinggalkan komentar sebagai bahan masukan web.
Latihan Soal Ukk Matematika Peminatan Kelas X Bab Vektor From duniabelajarsoalku.blogspot.com
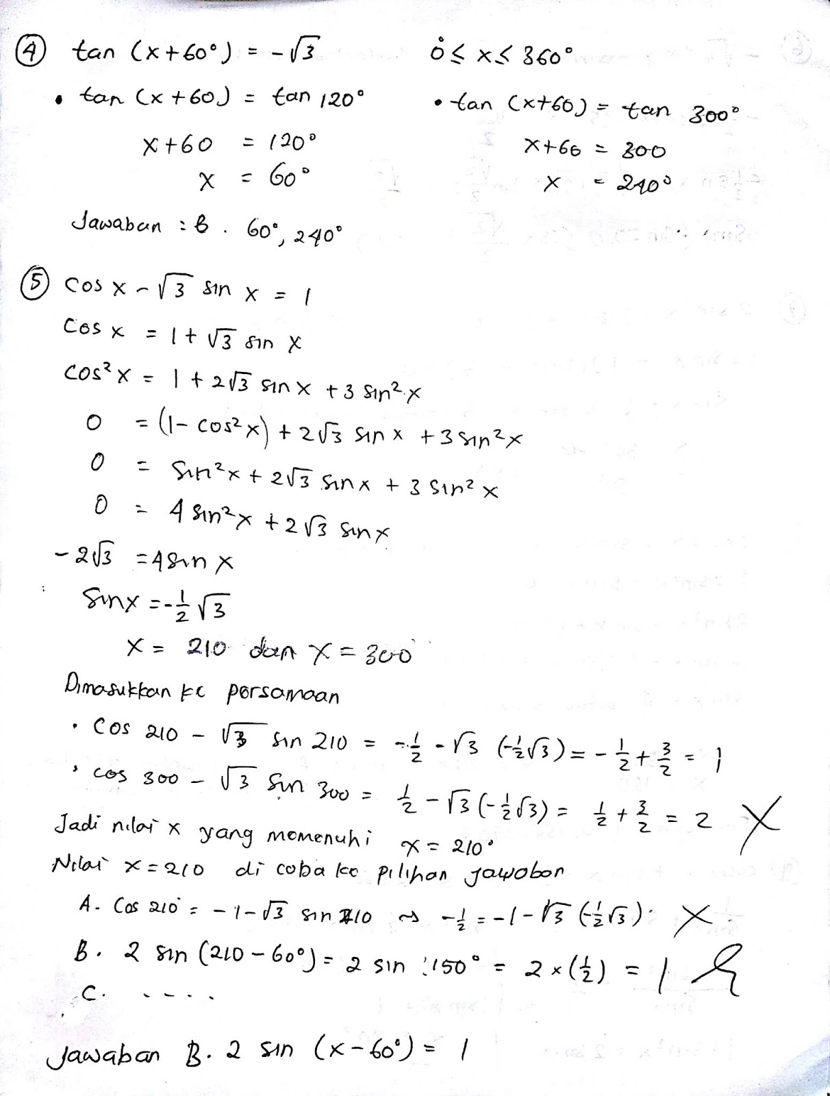
Contoh soal dan pembahasan trigonometri lengkap kelas 11 di kesempatan kali ini kita akan memberikan contoh soal dan pembahasan trigonometri kelas 11. Seperti yang dikutip dari tribun pontianak dengan judul soal uas matematika kelas 11 sma / smk semester 2 tahun 2021, kunci jawaban pat / ukk pilihan ganda Soal dan pembahasan matematika polinomial jawab. Berikut ini merupakan soal disertai pembahasannya ulangan umum matematika kelas xi semester genap tahun ajaran 20182019 smkn 3 pontianak yang diujikan tanggal 16 april 2019. Download soal dan pembahasan kunci jawaban matematika uas 1 sma. Terima kasih telah download soal uasbn mtk peminatan smasmk dan kunci jawaban di web kami sebagai ucapan terimakasih silahkan like fanepage facebook kami dan tinggalkan komentar sebagai bahan masukan web.
Pembahasan soal latihan pat (ukk) matematika peminatan sma/ma kelas xi (11) kurikulum 2013 tahun 2021.
Latihan soal uas matematika peminatan kelas 11 semester 1 k13 2021 dan kunci jawaban. Soal dan pembahasan pas matematika peminatan kelas xi semester 1. Bama nurrochman ringkasan materi lingkaran no. 200 contoh soal uas matematika kelas 11 sma ma semester genap terbaru halo adik adik yang baik nah pada kesempatan kali ini kakak ingin membagikan beberapa contoh soal yang sudah disusun sebanyak 5 paket setiap paket sudah kakak sediakan soal soal kemungkinan soal. Soal dan pembahasan matematika polinomial jawab. Download soal dan pembahasan kunci jawaban matematika uas 1 sma.
Source: mathlabs88.blogspot.com
Sebentar lagi ujian akhir semester [uas] semester 1 akan segera dilaksanakan. Soal dan pembahasan hubungan akar akar suku banyak 1 3 istana mengajar. Soal pat (ukk) ini ialah kumpulan file yang berisi latihan soal pat matematika peminatan sma kelas 11 kurtilas tahun 2021 yang bisa digunakan oleh pendidik yang bakal menyelenggarakan penilaian akhir tahun. Kumpulan soal k13 ini kami khususkan untuk jenjang sma dan smk sederajad, soal yang kami bagikan sudah dalam bentuk edisi revisi yang biasa dikenal para pendidik atau lebih. Terima kasih telah download soal uasbn mtk peminatan smasmk dan kunci jawaban di web kami sebagai ucapan terimakasih silahkan like fanepage facebook kami dan tinggalkan komentar sebagai bahan masukan web.
Source: fdokumen.com
Soal dan pembahasan matematika polinomial jawab. Pada kesempatan ini m4th lab akan membahas materi limit fungsi trigonometri meliputi konsep contoh soal dan pembahasan. Soal pat (ukk) ini ialah kumpulan file yang berisi latihan soal pat matematika peminatan sma kelas 11 kurtilas tahun 2021 yang bisa digunakan oleh pendidik yang bakal menyelenggarakan penilaian akhir tahun. Artikel awal ini membahas persamaan lingkaran dengan pusat titik 0 0 titik a b dan bentuk umum persamaan lingkaran garis singgung pada lingkaran dibahas pada artikel tersendiri. Berikut ini merupakan soal disertai pembahasannya ulangan umum matematika kelas xi semester genap tahun ajaran 20182019 smkn 3 pontianak yang diujikan tanggal 16 april 2019.
Source: duniabelajarsoalku.blogspot.com
Bahkan ada yang baru membaca soalnya saja sudah pusing. Soal dan pembahasan hubungan akar akar suku banyak 1 3 istana mengajar. Bahkan ada yang baru membaca soalnya saja sudah pusing. Kumpulan soal k13 ini kami khususkan untuk jenjang sma dan smk sederajad, soal yang kami bagikan sudah dalam bentuk edisi revisi yang biasa dikenal para pendidik atau lebih. Pembahasan soal latihan pat (ukk) matematika peminatan sma/ma kelas xi (11) kurikulum 2013 tahun 2021.
Source: duniabelajarsoalku.blogspot.com
Latihan soal dan jawaban pat matematika peminatan kelas 11 sma 2021 k13 pdf, download tapi untuk sobat yang menginginkan kutipannya, di bawah ini ada 10 butir soal. Pembahasan soal pas matematika wajib kelas 11 part 1: Serta bisa digunakan oleh bapak / ibu guru dalam menyusun soal dan. 200 contoh soal uas matematika kelas 11 sma ma semester genap terbaru halo adik adik yang baik nah pada kesempatan kali ini kakak ingin membagikan beberapa contoh soal yang sudah disusun sebanyak 5 paket setiap paket sudah kakak sediakan soal soal kemungkinan soal. Soal pat (ukk) ini ialah kumpulan file yang berisi latihan soal pat matematika peminatan sma kelas 11 kurtilas tahun 2021 yang bisa digunakan oleh pendidik yang bakal menyelenggarakan penilaian akhir tahun.
Source: yuk.mojok.my.id
Artikel awal ini membahas persamaan lingkaran dengan pusat titik 0 0 titik a b dan bentuk umum persamaan lingkaran garis singgung pada lingkaran dibahas pada artikel tersendiri. Sebentar lagi ujian akhir semester [uas] semester 1 akan segera dilaksanakan. Bahkan ada yang baru membaca soalnya saja sudah pusing. Soal dan pembahasan pas matematika peminatan kelas xi semester 1. Diharapkan dengan soal uas matematika peminatan kelas 11 semester 1 kurikulum 2013 dan pembahasannya ini dapat bermanfaat baik guru maupun siswa dalam mempersiapkan diri menjelang kegiatan ulangan dan ujian.
Source: bimbelife.blogspot.com
Mata pelajaran matematika peminatan merupakan mata pelajaran peminatan yang hanya diujikan untuk jurusan ipa saja. Buku matematika kelas 12 smk guru ilmu sosial. Soal matematika peminatan kelas 11 semester 1 dan pembahasannya. Soal dan pembahasan matematika polinomial jawab. Soal pat (ukk) ini ialah kumpulan file yang berisi latihan soal pat matematika peminatan sma kelas 11 kurtilas tahun 2021 yang bisa digunakan oleh pendidik yang bakal menyelenggarakan penilaian akhir tahun.
Source: file.atirta13.com
Soal pts / uts mtk peminatan kelas 11 semester 1. Soal pts / uts mtk peminatan kelas 11 semester 1. Uji kompetensi dan pembahasan matematika semester 2 kelas xi. Penulis mengarsipkannya sebagai bahan referensi untuk belajar. Peluang, bangun ruang (dimensi tiga), dan logika matematika.
Source: contohsoalitu.blogspot.com
Latihan soal uas matematika peminatan kelas 11 semester 1 k13 2021 dan kunci jawaban. Dicariguru.com kembali membagikan kelengkapan perangkat evaluasi berupa download soal uas mtk peminatan kelas 10, 11, 12 semester 1 k13 revisi 2018 dan kunci jawaban. Artikel awal ini membahas persamaan lingkaran dengan pusat titik (0, 0), titik (a, b) dan bentuk umum persamaan lingkaran, garis singgung pada lingkaran dibahas pada artikel tersendiri. Seperti yang dikutip dari tribun pontianak dengan judul soal uas matematika kelas 11 sma / smk semester 2 tahun 2021, kunci jawaban pat / ukk pilihan ganda Jadi jangan lupa tonton sampai habis like subscribe dan.
Source: contoh-surat.co
Latihan soal matematika peminatan brainly co id. Jawaban soal matematika kelas 10 peminatan latihan 2 4 a sampai d Pembahasan soal pas matematika wajib kelas 11 part 1: Kumpulan soal k13 ini kami khususkan untuk jenjang sma dan smk sederajad, soal yang kami bagikan sudah dalam bentuk edisi revisi yang biasa dikenal para pendidik atau lebih. Soal pat (ukk) ini ialah kumpulan file yang berisi latihan soal pat matematika peminatan sma kelas 11 kurtilas tahun 2021 yang bisa digunakan oleh pendidik yang bakal menyelenggarakan penilaian akhir tahun.
Source: dokumen.tips
Matematikastudycenter.com_ belajar persamaan lingkaran materi matematika kelas 11 sma dengan contoh soal dan pembahasan. Bama nurrochman ringkasan materi lingkaran no. Fendi alfi fauzi 9 maret. Soal pat (ukk) ini ialah kumpulan file yang berisi latihan soal pat matematika peminatan sma kelas 11 kurtilas tahun 2021 yang bisa digunakan oleh pendidik yang bakal menyelenggarakan penilaian akhir tahun. Serta bisa digunakan oleh bapak / ibu guru dalam menyusun soal dan.
Source: fdokumen.com
Artikel awal ini membahas persamaan lingkaran dengan pusat titik (0, 0), titik (a, b) dan bentuk umum persamaan lingkaran, garis singgung pada lingkaran dibahas pada artikel tersendiri. Serta bisa digunakan oleh bapak / ibu guru dalam menyusun soal dan. Pada kesempatan ini m4th lab akan membahas materi limit fungsi trigonometri meliputi konsep contoh soal dan pembahasan. Artikel awal ini membahas persamaan lingkaran dengan pusat titik 0 0 titik a b dan bentuk umum persamaan lingkaran garis singgung pada lingkaran dibahas pada artikel tersendiri. Uji kompetensi dan pembahasan matematika semester 2 kelas xi.
Source: iskconlawbook.blogspot.com
Soal pts / uts mtk peminatan kelas 11 semester 1. Soal pat (ukk) ini ialah kumpulan file yang berisi latihan soal pat matematika peminatan sma kelas 11 kurtilas tahun 2021 yang bisa digunakan oleh pendidik yang bakal menyelenggarakan penilaian akhir tahun. Fendi alfi fauzi 9 maret. Soal dan pembahasan hubungan akar akar suku banyak 1 3 istana mengajar. Serta bisa digunakan oleh bapak / ibu guru dalam menyusun soal dan.
Source: berbagaicontoh.com
Bank soal sma september 20, 2021 10:01. Kumpulan soal k13 ini kami khususkan untuk jenjang sma dan smk sederajad, soal yang kami bagikan sudah dalam bentuk edisi revisi yang biasa dikenal para pendidik atau lebih. Mata pelajaran matematika peminatan merupakan mata pelajaran peminatan yang hanya diujikan untuk jurusan ipa saja. Soal matematika kelas 11 semester 1 dan pembahasannya soal sma. Pada postingan kali ini admin akan membagikan beberapa contoh soal dan kunci jawabanya untuk evaluasi tengah semester ganjil.
Source: slideshare.net
Pembahasan soal pas matematika wajib kelas 11 part 1: 200 contoh soal uas matematika kelas 11 sma ma semester genap terbaru halo adik adik yang baik nah pada kesempatan kali ini kakak ingin membagikan beberapa contoh soal yang sudah disusun sebanyak 5 paket setiap paket sudah kakak sediakan soal soal kemungkinan soal. Latihan soal dan jawaban pat matematika peminatan kelas 11 sma 2021 k13 pdf, download tapi untuk sobat yang menginginkan kutipannya, di bawah ini ada 10 butir soal. Soal uas kelas 11 matematika wajib semester 1 soal uas kelas 11 pai semester 1 soal uas matematika peminatan kelas xi semester 1 yang aku bagikan ini berformat doc dan sanggup di edit kembali sesuai kebutuhan bapak/ibu guru sebagai contoh maupun bahan acuan dalam pembuatan latihan soal uas matematika peminatan kelas 11 semester 1 kurikulum 2013. Soal pat (ukk) ini ialah kumpulan file yang berisi latihan soal pat matematika peminatan sma kelas 11 kurtilas tahun 2021 yang bisa digunakan oleh pendidik yang bakal menyelenggarakan penilaian akhir tahun.
Source: bimbelife.blogspot.com
Soal matematika kelas 11 semester 1 dan pembahasannya soal sma. Buku matematika kelas 12 smk guru ilmu sosial. Fendi alfi fauzi 9 maret. Contoh soal dan pembahasan trigonometri lengkap kelas 11 di kesempatan kali ini kita akan memberikan contoh soal dan pembahasan trigonometri kelas 11. Jawaban soal matematika kelas 10 peminatan latihan 2 4 a sampai d
Source: mathlabs88.blogspot.com
Contoh soal vektor matematika dan pembahasannya kelas 11 ilmu. Bama nurrochman ringkasan materi lingkaran no. Pada kesempatan ini m4th lab akan membahas materi limit fungsi trigonometri meliputi konsep contoh soal dan pembahasan. Soal pts matematika peminatan kelas 11 k13 dan kunci jawaban. Bank soal sma september 20, 2021 10:01.
Source: zct-tvey5.blogspot.com
Seperti yang dikutip dari tribun pontianak dengan judul soal uas matematika kelas 11 sma / smk semester 2 tahun 2021, kunci jawaban pat / ukk pilihan ganda Uji kompetensi dan pembahasan matematika semester 2 kelas xi. Jawaban soal matematika kelas 10 peminatan latihan 2 4 a sampai d Latihan soal uas matematika peminatan kelas 11 semester 1 k13 2021 dan kunci jawaban. Soal pts / uts mtk peminatan kelas 11 semester 1.
Source: bimbelife.blogspot.com
Pembahasan soal pas matematika wajib kelas 11 part 1: Latihan soal dan jawaban pat matematika peminatan kelas 11 sma 2021 k13 pdf, download tapi untuk sobat yang menginginkan kutipannya, di bawah ini ada 10 butir soal. Peluang, bangun ruang (dimensi tiga), dan logika matematika. Pada postingan kali ini admin akan membagikan beberapa contoh soal dan kunci jawabanya untuk evaluasi tengah semester ganjil. Pembahasan soal latihan pat (ukk) matematika peminatan sma/ma kelas xi (11) kurikulum 2013 tahun 2021.
This site is an open community for users to do sharing their favorite wallpapers on the internet, all images or pictures in this website are for personal wallpaper use only, it is stricly prohibited to use this wallpaper for commercial purposes, if you are the author and find this image is shared without your permission, please kindly raise a DMCA report to Us.
If you find this site adventageous, please support us by sharing this posts to your preference social media accounts like Facebook, Instagram and so on or you can also bookmark this blog page with the title soal dan pembahasan matematika peminatan kelas 11 by using Ctrl + D for devices a laptop with a Windows operating system or Command + D for laptops with an Apple operating system. If you use a smartphone, you can also use the drawer menu of the browser you are using. Whether it’s a Windows, Mac, iOS or Android operating system, you will still be able to bookmark this website.




