Soal Keperawatan Jiwa. Klien mengatakan pada perawat bahwa ia akan memilih obat herbal untuk membantu. Berikut contoh soal & pembahasan uji kompetensi perawat d3 departeman keperawatan medikal bedah (kmb). Jangan pakai metode just in case, belajar semua hal dalam 1 waktu. Klien menceritakan semua hal tentang kehidupannya dahulu kepada perawat.
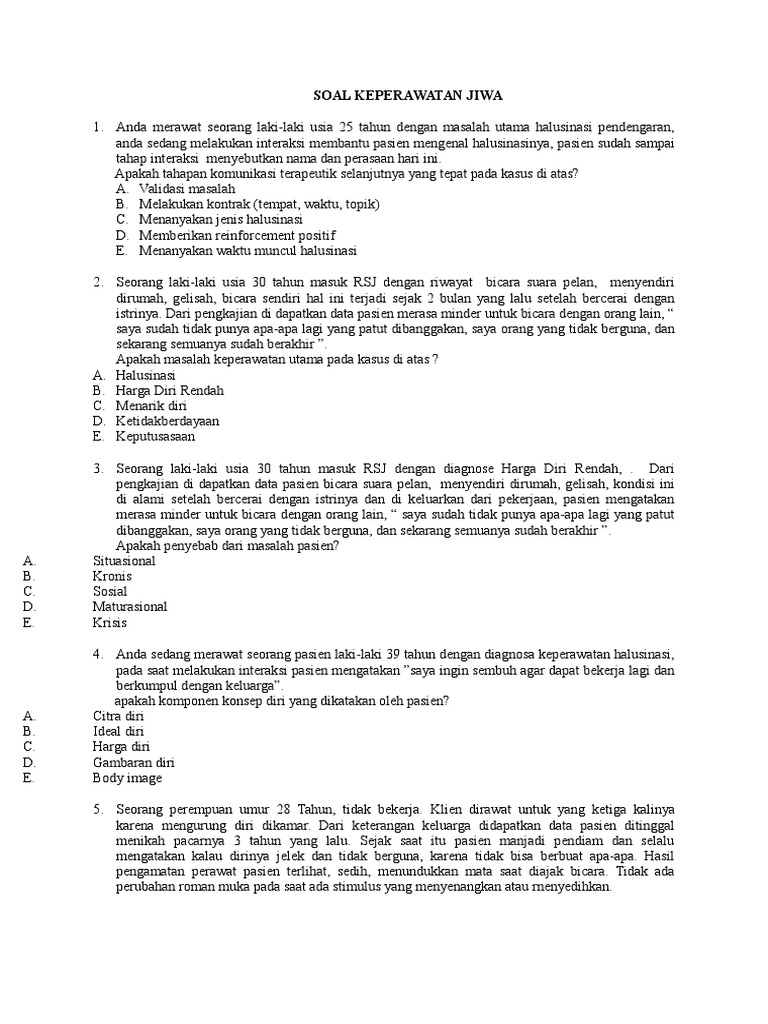
SOAL KEPERAWATAN JIWA From scribd.com
Materi yang akan anda pelajaripada topik 1 adalah perkembangan keperawatan jiwa di dunia dimulai zaman peradaban hingga saat ini sedangkan di indonesia dimulai sejak zaman penjajahan belanda hingga saat ini. Jangan pakai metode just in case, belajar semua hal dalam 1 waktu. Dukungan negatif ketika muncul stimulus adalah deskripsi dari terapi. Pasien mengatakan marah karena bertengkar dengan adik yang selalu mengejeknya. Untuk memudahkan mengerjakan latihan, silahkan pahami ringkasan materi di bawah ini: Seorang perempuan (28 tahun) dirawat dengan schizoprenia paranoid.
Klien mengatakan pada perawat bahwa ia akan memilih obat herbal untuk membantu.
Klien mengatakan pada perawat bahwa ia akan memilih obat herbal untuk membantu. Silahkan ditonton videonya semoga bermanfaat buat teman2 semua. Contoh soal uts keperawatan jiwa. Pasien mengatakan bahwa jiwanya telah dibawa dan ia sudah. Klien mengatakan pada perawat bahwa ia akan memilih obat herbal untuk membantu. Perawat mengatakan bahwa klien meyakini jika makanan itu.
Source: barucontohsoal.blogspot.com
Ada 566 pernyataan yang harus diisi dalam kurun waktu 120 menit atau 2 jam. Materi yang akan anda pelajaripada topik 1 adalah perkembangan keperawatan jiwa di dunia dimulai zaman peradaban hingga saat ini sedangkan di indonesia dimulai sejak zaman penjajahan belanda hingga saat ini. Kumpulan soal uji kompetensi (ukom) perawat d3 dan s1 beserta kunci jawabannya ke 57 terdapat 10 buah soal beserta jawabannya 1. Untuk melakukan asuhan keperawatan, setiap tahap dalam proses keperawatan mulai pengkajian, diagnosis, perencanaan, implementasi, dan. Pasien mengatakan bahwa jiwanya telah dibawa dan ia sudah.
Source: ruangilmu.github.io
Jangan pakai metode just in case, belajar semua hal dalam 1 waktu. Perempuan, usia 17 tahun, dirawat di bangsal rsj sejak 3 hari yang lalu karena mengamuk dan merusak rumahnya. Klien menceritakan semua hal tentang kehidupannya dahulu kepada perawat. C 2) berikut ini yang tidak termasuk criteria kualitas asuhan. Ada 566 pernyataan yang harus diisi dalam kurun waktu 120 menit atau 2 jam.
Source: scribd.com
Soal latihan ukom keperawatan jiwa. Contoh soal keperawatan jiwa by pkegelapan_28. Kata perawatnya sih beberapa soal tapi ternyata beberapa itu lebih dari 200 soal. Pemenuhan kebutuhan spiritual pasien di ruang icu rumah. Contoh soal uts keperawatan jiwa.
Source: youtube.com
Pasien mengatakan bahwa jiwanya telah dibawa dan ia sudah. Melihat komposisi soal tes kesehatan jiwa bagi anggota polri tidaklah beda dengan soal soal kesehatan rohani di rsu dr. Pasien mengeluh nyeri dan sakit pada tulang. Soal keperawatan jiwa keperawatan jiwa. C 2) berikut ini yang tidak termasuk criteria kualitas asuhan.
Source: kondiskorabat.com
Materi yang akan anda pelajaripada topik 1 adalah perkembangan keperawatan jiwa di dunia dimulai zaman peradaban hingga saat ini sedangkan di indonesia dimulai sejak zaman penjajahan belanda hingga saat ini. Soal dan kunci jawaban komunikasi terapeutik pasien gangguan fisik dan jiwa. Perawat mengatakan bahwa klien meyakini jika makanan itu. Soal latihan ukom keperawatan jiwa. Pilihlah satu jawaban yang paling tepat !
Source: jawabanpelajaransoal.blogspot.com
Jenis terapi modalitas yang dikembangkan pada keperawatan jiwa yaitu: Soal ukom jiwa ners 2018 lengkap edisi 5 ukom perawat. Jenis terapi modalitas yang dikembangkan pada keperawatan jiwa yaitu: Contoh soal keperawatan jiwa by pkegelapan_28. F dibawa oleh keluarganya ke rs.j h.b sanin padang dengan wajah tegang, pandangan tajam, bicara kasar, suara tinggi, tekanan darah 130/80 mmhg, nadi 79x/menit, pernafasan 22x/menit.
Source: scribd.com
Pasien mempunyai riwayat epilepsi sejak. Melihat komposisi soal tes kesehatan jiwa bagi anggota polri tidaklah beda dengan soal soal kesehatan rohani di rsu dr. Klien mengatakan pada perawat bahwa ia akan memilih obat herbal untuk membantu. Aku suka majalah tekhnik ya tidak 2. Contoh soal uji kompetensi ners beserta jawabannya.
Source: ruangilmu.github.io
Soal tes kesehatan jiwa pdf.download contoh soal tes kesehatan jiwa pdf 700 mb sampdf sampdf tes kesehatan rohani tes kesehatan jiwa mmpi test tes kesehatan rohani atau yang di sebut dengan mmpi tes adalah tes yang digunakan untuk menilai adanya prilaku yang mengarah pada tanda dan gejala gangguan kejiwaan group belajar dan. Ada 566 pernyataan yang harus diisi dalam kurun waktu 120 menit atau 2 jam. Contoh soal uts keperawatan jiwa. Contoh soal keperawatan jiwa by pkegelapan_28. Kata perawatnya sih beberapa soal tapi ternyata beberapa itu lebih dari 200 soal.
Source: shareitnow.me
Materi yang akan anda pelajaripada topik 1 adalah perkembangan keperawatan jiwa di dunia dimulai zaman peradaban hingga saat ini sedangkan di indonesia dimulai sejak zaman penjajahan belanda hingga saat ini. Seorang pria berusia 35 tahun dibawa oleh keluarganya ke rsj ada aja karena sering berbicara sendiri. Soal latihan ukom keperawatan jiwa. Tesis peran kader kesehatan jiwa dalam program kesehatan. Jangan pakai metode just in case, belajar semua hal dalam 1 waktu.
Source: youtube.com
Tahap interaksi menyebutkan nama dan perasaan hari ini. Dukungan negatif ketika muncul stimulus adalah deskripsi dari terapi. Obat antihipertensi diresepkan untuk klien dengan hipertensi. Melihat komposisi soal tes kesehatan jiwa bagi anggota polri tidaklah beda dengan soal soal kesehatan rohani di rsu dr. Pasien mengatakan bahwa dirinya sebenarnya sudah tidak ada didunia ini lagi.
Source: barucontohsoal.blogspot.com
Ada 566 pernyataan yang harus diisi dalam kurun waktu 120 menit atau 2 jam. Nah, tugas anda untuk memenej hal diatas. Setelah perawat selesai mendengarkan cerita klien, perawat menceritakan. Soal ukom jiwa ners 2018 lengkap edisi 5 ukom perawat. Soal uji kompetensi keperawatan jiwa dan kunci jawaban serta pembahasan edisi 1.
Source: infuset.blogspot.com
Data yang anda dapat setelah berada di desa tersebut yaitu lansia 80% menderita hipertensi, anak. Menjelaskan kembali perkembangan keperawatan jiwa di dunia 2. Untuk memudahkan mengerjakan latihan, silahkan pahami ringkasan materi di bawah ini: Seorang pria berusia 35 tahun dibawa oleh keluarganya ke rsj ada aja karena sering berbicara sendiri. Aku suka majalah tekhnik ya tidak 2.
Source: kondiskorabat.com
Menjelasakan kembali perkembangan keperawatan jiwa di indonesia. Soal ukom jiwa ners 2018 lengkap edisi 5 ukom perawat. Contoh soal skb guru agama islam 2019 2020 beserta pembahasannya. Kata perawatnya sih beberapa soal tapi ternyata beberapa itu lebih dari 200 soal. Kumpulan soal uji kompetensi (ukom) perawat d3 dan s1 beserta kunci jawabannya ke 57 terdapat 10 buah soal beserta jawabannya 1.
Source: soaltuntaskan.blogspot.com
Dukungan negatif ketika muncul stimulus adalah deskripsi dari terapi. Perawat mengatakan bahwa klien meyakini jika makanan itu. Soal keperawatan jiwa keperawatan jiwa. Pasien mengatakan marah karena bertengkar dengan adik yang selalu mengejeknya. Soal ukom perawat dan kunci jawaban.
Source: ruangilmu.github.io
Soal uji kompetensi keperawatan jiwa dan kunci jawaban serta pembahasan edisi 1. Silahkan ditonton videonya semoga bermanfaat buat teman2 semua. Sore itu, pukul 16.05 tn. Menjelasakan kembali perkembangan keperawatan jiwa di indonesia. Contoh soal uts keperawatan jiwa.
Source: kondiskorabat.com
C 2) berikut ini yang tidak termasuk criteria kualitas asuhan. Pasien cowok keche usia 26 tahun dirawat diruang inap rumah sakit jiwa, hasil pengkajian klien berbaring dilantai ruangan, berdiam diri, memejamkan mata. Anda boleh menentukan, misalnya mulai fokus pada mata kuliah keperawatan medikal bedah (proposrsi soal terbanyak), lalu mata kuliah keperawatan maternitas, keperawatan jiwa dan seterusnya sampai selesai. Soal dan kunci jawaban komunikasi terapeutik pasien gangguan fisik dan jiwa. Seorang anak bisa mengucapkan dan menggunakan skitar 10 kata tunggal dg benar, usia.
Source: ruangilmu.github.io
Perempuan, usia 17 tahun, dirawat di bangsal rsj sejak 3 hari yang lalu karena mengamuk dan merusak rumahnya. Melihat komposisi soal tes kesehatan jiwa bagi anggota polri tidaklah beda dengan soal soal kesehatan rohani di rsu dr. Soal dan kunci jawaban terapi modalitas dalam keperawatan jiwa untuk memudahkan mengerjakan latihan, silahkan pahami ringkasan materi di bawah ini: Perempuan, usia 17 tahun, dirawat di bangsal rsj sejak 3 hari yang lalu karena mengamuk dan merusak rumahnya. Pasien mempunyai riwayat epilepsi sejak.
Source: bukugurudansiswa.blogspot.com
Soal tes kesehatan jiwa pdf.download contoh soal tes kesehatan jiwa pdf 700 mb sampdf sampdf tes kesehatan rohani tes kesehatan jiwa mmpi test tes kesehatan rohani atau yang di sebut dengan mmpi tes adalah tes yang digunakan untuk menilai adanya prilaku yang mengarah pada tanda dan gejala gangguan kejiwaan group belajar dan. Berikut contoh soal & pembahasan uji kompetensi perawat d3 departeman keperawatan medikal bedah (kmb). Contoh soal keperawatan jiwa by pkegelapan_28. Melihat komposisi soal tes kesehatan jiwa bagi anggota polri tidaklah beda dengan soal soal kesehatan rohani di rsu dr. Nah, tugas anda untuk memenej hal diatas.
This site is an open community for users to do submittion their favorite wallpapers on the internet, all images or pictures in this website are for personal wallpaper use only, it is stricly prohibited to use this wallpaper for commercial purposes, if you are the author and find this image is shared without your permission, please kindly raise a DMCA report to Us.
If you find this site adventageous, please support us by sharing this posts to your preference social media accounts like Facebook, Instagram and so on or you can also save this blog page with the title soal keperawatan jiwa by using Ctrl + D for devices a laptop with a Windows operating system or Command + D for laptops with an Apple operating system. If you use a smartphone, you can also use the drawer menu of the browser you are using. Whether it’s a Windows, Mac, iOS or Android operating system, you will still be able to bookmark this website.



