Soal Soal Transformasi Laplace. Jawaban contoh soal transformasi laplace 1. 4 4 s * = 2 3 4.2! Contoh soal transformasi laplace persamaan diferensial. Jika l{f(t)}=f(s), dan g(t)= (t−2)3, t > a 0 , t < a ⎧ ⎨ ⎩⎪ maka l{g(t)}=e−asf(s) jika l{t3}= 6 s4, maka transformasi laplace dari g(t) = (t−2)3, t>2 0 , t<2 ⎧ ⎨ ⎩⎪ adalah e−2s 6 s4 = 6e−2s s4
Contoh Soal Dan Jawaban Transformasi Laplace Pada From perantiguru.com
Jika diberikan suatu transformasi laplace, kita harus mencari fungsi t dari laplace tsb. 4 4 s * = 2 3 4.2! L[e5t (sin2t sin 4t)] jawab : Jawaban contoh soal transformasi laplace 1. Contoh soal transformasi laplace persamaan diferensial. Jika l{f(t)}=f(s), dan g(t)= (t−2)3, t > a 0 , t < a ⎧ ⎨ ⎩⎪ maka l{g(t)}=e−asf(s) jika l{t3}= 6 s4, maka transformasi laplace dari g(t) = (t−2)3, t>2 0 , t<2 ⎧ ⎨ ⎩⎪ adalah e−2s 6 s4 = 6e−2s s4
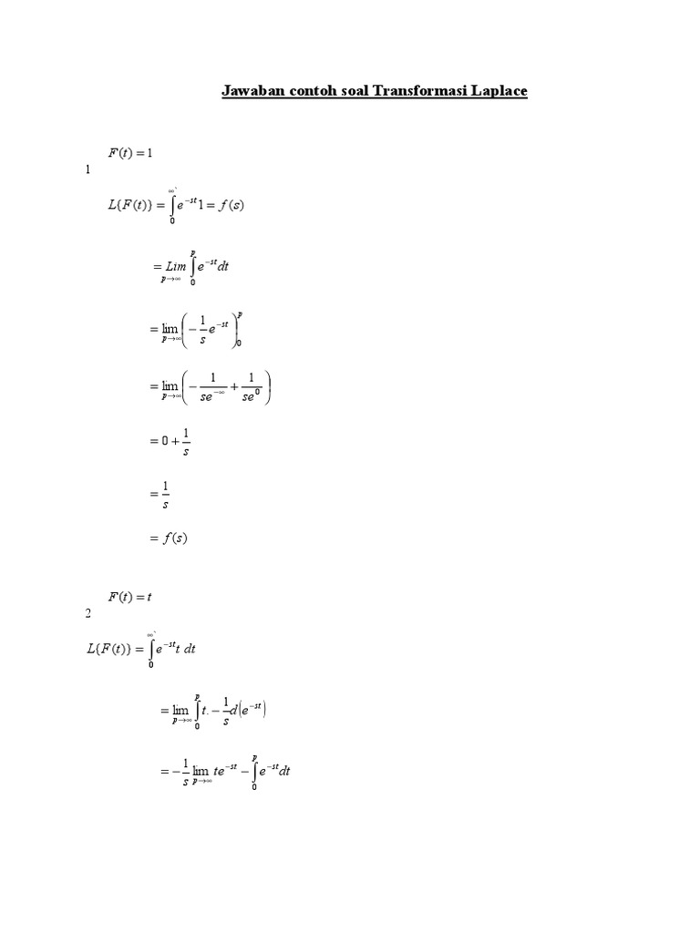
Jawaban contoh soal transformasi laplace 1.
Doc jbptunikompp gdl triraharjo 23427 14. Persamaan 1 bentuk persamaan 1 tersebut sama saja dengan y u. Suatu kelebihan metode transformasi lapalace adalah bahwa metode ini memungkinkan penggunaan teknik grafis untuk meramal kinerja sistem tanpa menyelesaikan persamaan diferensial sistem. L[e5t (sin2t sin 4t)] jawab : Carilah laplace dari fungsi periodik f(t) berikut: Doc transformasi laplace rahmat budiarjo academia edu.
Source: barucontohsoal.blogspot.com
L [10 sin 4t 4t2] jawab: Jawaban contoh soal transformasi laplace 1. 2 2 3 (3) 4. Contoh soal dan pembahasan inverse transformasi laplacevideo kali ini akan membahas mengenai inverse transfomasi laplace, contoh soal dan pembahasannya. Dengan menggunakan jawaban no.a dan sifat transformasi laplace, tentukan laplace g(t)
Source: seagateconventioncentrehotelsale.blogspot.com
Utk mencari konstanta a, b dpt dicari dgn cara : Jika l{f(t)}=f(s), dan g(t)= (t−2)3, t > a 0 , t < a ⎧ ⎨ ⎩⎪ maka l{g(t)}=e−asf(s) jika l{t3}= 6 s4, maka transformasi laplace dari g(t) = (t−2)3, t>2 0 , t<2 ⎧ ⎨ ⎩⎪ adalah e−2s 6 s4 = 6e−2s s4 Utk mencari konstanta a, b dpt dicari dgn cara : L [10 sin 4t + 4t2] = l[10sin 4t] l[4t2] = 10l[sin 4t] 4l[t2] = 10. Contoh soal transformasi laplace persamaan diferensial.
Source: dokumen.tips
L[e5t (sin2t sin 4t)] jawab : About press copyright contact us creators advertise developers terms privacy policy & safety how youtube works test new features press copyright contact us creators. Tentukan transformasi laplace dari fungsi ini f sin2t. Carilah laplace dari fungsi periodik f(t) berikut: 4 4 s * = 2 3 4.2!
Source: skuylahhu.com
16 40 s = 2 3 8 16 40 s 2. About press copyright contact us creators advertise developers terms privacy policy & safety how youtube works test new features press copyright contact us creators. L [10 sin 4t + 4t2] = l[10sin 4t] l[4t2] = 10l[sin 4t] 4l[t2] = 10. Sifat transformasi laplace 3.translasi komposisi contoh. Contoh soal transformasi laplace persamaan diferensial.
Source: contohsoalitu.blogspot.com
Suatu kelebihan metode transformasi lapalace adalah bahwa metode ini memungkinkan penggunaan teknik grafis untuk meramal kinerja sistem tanpa menyelesaikan persamaan diferensial sistem. Pengertian integral tak wajar andaikan fungsi f terdefinisikan untuk t ≥ 0. F (t) dari fungsi berikut : Tentukanlah transformasi lapalce invers : Transformasi laplace f(s) dari fungsi f(t), untuk t > 0 adalah :
Source: scribd.com
Contoh soal transformasi laplace persamaan diferensial. Transformasi laplace untuk persamaan differensial 2 belajar matematika 9 contoh soal transformasi lapace 5 contoh soal transformasi laplace dan jawaban docx transformasi laplace turunan dan integral doc bab 6 transformasi laplace dhedi hermawan academia edu transformasi laplace matematika teknik ii taufiqur rokhman Jawaban contoh soal transformasi laplace 1. Contoh soal transformasi laplace persamaan diferensial. Transformasi laplace dan persamaan diferensial untuk pemodelan signal dalam bentuk matematis.
Source: skuylahhu.com
Sebagai contoh, kita ketahui bahwa adalah transformasi laplace dari sin at. • hasil transformasi balik ini menghasilkan penyelesaian persamaan dalam kawasan waktu. L [10 sin 4t 4t2] jawab: Contoh soal transformasi laplace persamaan diferensial. Persamaan 1 bentuk persamaan 1 tersebut sama saja dengan y u.
Source: kumpuancontohsoalpopuler64.blogspot.com
L [10 sin 4t 4t2] = l [10sin 4t] l [4t2] 10l [sin 4t] 4l [t2] = 10. Doc jbptunikompp gdl triraharjo 23427 14. Contoh soal transformasi laplace f(t) : About press copyright contact us creators advertise developers terms privacy policy & safety how youtube works test new features press copyright contact us creators. Contoh soal transformasi laplace persamaan diferensial.
Source: shareitnow.me
Jawaban contoh soal transformasi laplace 1. L{c1 f1 (t ) c 2 f2 (t )} c1 f 1 ( s ) c 2 f ( s ) bukti: Utk mencari konstanta a, b dpt dicari dgn cara : L [10 sin 4t + 4t2] jawab: Soal dan pembahasan transformasi geometri 1.
Source: skuylahhu.com
Tentukan transformasi laplace dari fungsi ini f sin2t. Jawaban contoh soal transformasi laplace. 10 penerapan transformasi laplace pada persamaan. F(t) = t cos 2t; Jawaban contoh soal transformasi laplace 1.
Source: seagateconventioncentrehotelsale.blogspot.com
Jawaban contoh soal transformasi laplace 1. Suatu kelebihan metode transformasi lapalace adalah bahwa metode ini memungkinkan penggunaan teknik grafis untuk meramal kinerja sistem tanpa menyelesaikan persamaan diferensial sistem. Contoh soal transformasi laplace f(t) : L [10 sin 4t + 4t2] = l[10sin 4t] l[4t2] = 10l[sin 4t] 4l[t2] = 10. Sebagai contoh, kita ketahui bahwa adalah transformasi laplace dari sin at.
Source: perantiguru.com
Transformasi laplace • mengubah fungsi dari sistem fisis (domain waktu) ke fungsi variabel kompleks (domain s) • menyederhanakan persamaan matematis yang mengandung operasi turunan/differensial atau integral menjadi persamaan yang berisi perkalian atau pembagian biasa • dapat mengubah fungsi umum (fungsi sinusoida, sinusoida Untuk lebih jelasnya ikutilah contoh soal berikut ini. Contoh soal yield to call kumpulan soal pelajaran 2. Doc jbptunikompp gdl triraharjo 23427 14. L [10 sin 4t + 4t2] jawab:
Source: skuylahhu.com
Tentukan transformasi laplace dari fungsi berikut a. Jawaban contoh soal transformasi laplace 1. Jawaban contoh soal transformasi laplace 1. 1) tentukan transformasi laplace untuk fungsi yang diberikan. Pengertian integral tak wajar andaikan fungsi f terdefinisikan untuk t ≥ 0.
Source: id.scribd.com
Suatu kelebihan metode transformasi lapalace adalah bahwa metode ini memungkinkan penggunaan teknik grafis untuk meramal kinerja sistem tanpa menyelesaikan persamaan diferensial sistem. Jika limitnya tidak ada nilainya, maka integral tak wajar dikatakan divergen. Transformasi laplace dan persamaan diferensial untuk pemodelan signal dalam bentuk matematis. Jawaban contoh soal transformasi laplace 1. Jika diberikan suatu transformasi laplace, kita harus mencari fungsi t dari laplace tsb.
Source: ilmupopuler548.blogspot.com
Solusi didapat dengan mengubah persamaan diferensial (yang merupakan fungsi waktu) dari. Jika l{f(t)}=f(s), dan g(t)= (t−2)3, t > a 0 , t < a ⎧ ⎨ ⎩⎪ maka l{g(t)}=e−asf(s) jika l{t3}= 6 s4, maka transformasi laplace dari g(t) = (t−2)3, t>2 0 , t<2 ⎧ ⎨ ⎩⎪ adalah e−2s 6 s4 = 6e−2s s4 Doc jbptunikompp gdl triraharjo 23427 14. Berikut informasi sepenuhnya tentang contoh soal dan penyelesaian transformasi laplace. Jika diberikan suatu transformasi laplace, kita harus mencari fungsi t dari laplace tsb.
Source: skuylahhu.com
Tentukanlah transformasi lapalce invers : Dengan menggunakan jawaban no.a dan sifat transformasi laplace, tentukan laplace g(t) Sebagai contoh, kita ketahui bahwa adalah transformasi laplace dari sin at. Ekspansi pecahan parsial menghasilkan b s. L [10 sin 4t + 4t2] = l[10sin 4t] l[4t2] = 10l[sin 4t] 4l[t2] = 10.
Source: python-belajar.github.io
Sebagai contoh, kita ketahui bahwa adalah transformasi laplace dari sin at. Carilah laplace dari fungsi periodik f(t) berikut: S 4 g s s 2 s 1 s 2 d t 2 t 3 e t 2 e 2 t t 0 dt untuk fungsi dalam yang. L[e (sin 2t sinh 4t )] l[e sin 2t ] l[e5t sinh 4t ].(1) 2 ( 5) 4 2 [ sin 2 ] 2 5 s l e t t = 10 25 4 2 s2 s = Dttfdttf b b ) (lim) ( 00 2 1.
Source: tugasoalkelompok.blogspot.com
Doc transformasi laplace rahmat budiarjo academia edu. Persamaan diferensial linear orde 1 ciri ciri sifat linearitas pada persamaan diferensial persamaan diferensial eksak. L[e5t (sin2t sin 4t)] jawab : L [10 sin 4t + 4t2] jawab: Jika limitnya tidak ada nilainya, maka integral tak wajar dikatakan divergen.
This site is an open community for users to submit their favorite wallpapers on the internet, all images or pictures in this website are for personal wallpaper use only, it is stricly prohibited to use this wallpaper for commercial purposes, if you are the author and find this image is shared without your permission, please kindly raise a DMCA report to Us.
If you find this site helpful, please support us by sharing this posts to your favorite social media accounts like Facebook, Instagram and so on or you can also bookmark this blog page with the title soal soal transformasi laplace by using Ctrl + D for devices a laptop with a Windows operating system or Command + D for laptops with an Apple operating system. If you use a smartphone, you can also use the drawer menu of the browser you are using. Whether it’s a Windows, Mac, iOS or Android operating system, you will still be able to bookmark this website.





