Uji Z. Contoh soal uji z dan penyelesaiannya barisan contoh. Contoh soal dan pembahasan tentang transformasi. June 2, 2013 | anitadeppasau. Hnaya saja uji z ditujukan untuk jumlah data yang relatif besar (> 10).
Rumus Uji Z Wulan Tugas From wulantugasdoc.blogspot.com
Jika tidak bisa menemukan angka yang sama sebesar 0.05, carilah angka yang setidaknya mendekati angka 0.05. Menghitung nilai statistik uji z hitung 4 tentukan letak z. Sebagai contoh , kita akan menggunakan data pada bab yang digunakan pada uji t satu sampel dengan jumlah data yang lebih besar. Uji f dan uji t. Tentukan kriteria pengujian bentuk keputusan menerima / menolak ho. Selain itu statistik non parametric dapat digunakan jika sebaran data tidak
Contoh analisis uji beda nonparamaetrik wilcoxon.
Pengertian hipotesis hipotesis adalah suatu proses dari pendugaan parameter dalam populasi, yang membawa Sedangkan untuk data berbentuk diskrit (hasil menghitung) dengan ciri bilangannya selalu bulat misalnya 1 pasien, 2 pasien, dst, menggunakan uji binomial, poisson, dsb. Jumlah sampel 30 atau lebih dianggap sampel berukuran besar. Uji f dan uji t. 1 sample t test (pengujian t satu sampel) Pengujian hipotesis proporsi 1 sampel ppt download.
Source: youtube.com
Oleh karena itu, uji z dapat digunakan untuk menguji data yang sampelnya berukuran besar. Hasilnya kemudian dibandingkan z= dengan nilai yang ada pada tabel x n 3. Doc statistika ahmad zoqri academiaedu. Pengertian hipotesis hipotesis adalah suatu proses dari pendugaan parameter dalam populasi, yang membawa P = po ha :
Source: barisancontoh.blogspot.com
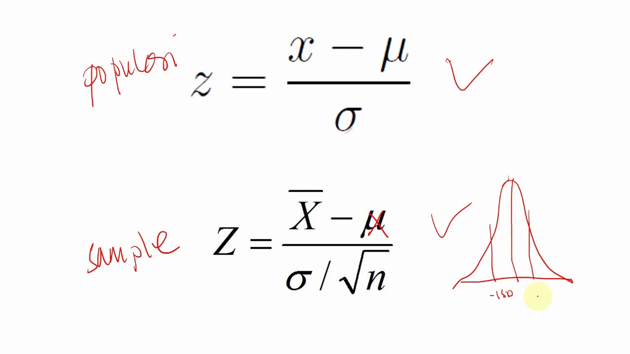
Pengujian hipotesis proporsi 1 sampel ppt download. Nilai z score dalam uji normalitas. Pdf bab xi pengujian hipotesis rata rata arif miboy. Dalam pelaksanaan pengujian hipotesis, dapat digunakan berbagai macam pengujian, diantaranya yang termasuk pada jenis statistika parametric adalah uji z dan uji t, sehingga statistik uji ini dapat diasumsikan bahwa data harus berdistribusi normal. What uji z adalah pengujian hipotesis menggunakan distribusi z yang formula uji z :
Source: blogtutorialspss.blogspot.com
Informasi mengenai contoh soal uji z dan penyelesaiannya. Ho diterima jika zo ≤ z 2. Sebelum melakukan pengujian statistik, terlebih dahulu dilakukan pengambilan sampel yang. Contoh soal uji t 2 sampel berpasangan contoh soal terbaru. F tabel dalam excel, jika f hitung > dari f tabel, (ho di tolak ha diterima) maka model signifikan atau bisa dilihat dalam kolom signifikansi pada anova (olahan dengan spss, gunakan uji regresi dengan metode enter/full model).
Source: scribd.com
Penggolongan uji z dan contoh penggunaan uji z 1. June 2, 2013 | anitadeppasau. Uji hipotesis uji dua proporsi uji z 10 6. Nilai z score dalam uji normalitas. Penggolongan uji z dan contoh penggunaan uji z 1.
Source: fdokumen.com
Sebagai contoh , kita akan menggunakan data pada bab yang digunakan pada uji t satu sampel dengan jumlah data yang lebih besar. F tabel dalam excel, jika f hitung > dari f tabel, (ho di tolak ha diterima) maka model signifikan atau bisa dilihat dalam kolom signifikansi pada anova (olahan dengan spss, gunakan uji regresi dengan metode enter/full model). Sedangkan untuk data berbentuk diskrit (hasil menghitung) dengan ciri bilangannya selalu bulat misalnya 1 pasien, 2 pasien, dst, menggunakan uji binomial, poisson, dsb. Uji t dan uji z. Selain itu statistik non parametric dapat digunakan jika sebaran data tidak
Source: pusatsoaljawaban.blogspot.com
Hnaya saja uji z ditujukan untuk jumlah data yang relatif besar (> 10). Hnaya saja uji z ditujukan untuk jumlah data yang relatif besar (> 10). Nilai z yang dicari yaitu 1.6 + 0.045 = 1.645. 1 sample t test (pengujian t satu sampel) Informasi mengenai contoh soal uji z dan penyelesaiannya.
Source: fdokumen.com
Uji t 2 sampel bebas : What why uji z digunakan untuk untuk menerima atau menolak hipotesis nol (h₀) yang dikemukakan. Oleh karena itu, uji z dapat digunakan utuk menguji data yang. Z adalah salah satu uji statistika yang pengujian hipotesisnya didekati dengan distribusi normal. Uji f dapat dilakukan dengan membandingkan f hitung dengan tabel f:
Source: slideshare.net
Jumlah sampel 30 atau lebih dianggap sampel berukuran besar. Doc statistika ahmad zoqri academiaedu. Contoh 2 misal ingin mencari nilai z untuk uji di satu arah dengan nilai peluang 0.025, maka ikuti langkah berikut ini: Pengujian dua proporsi digunakan ketika akan membandingkan apakah proporsi pada populasi pertama lebih kecil, sama atau lebih besar. Ada dua prosedur pengujian hipotesis, yaitu uji.
Source: youtube.com
Uji t dan uji z. Silakan lihat tabel untuk rumus 1 sample z test. Contoh soal uji z dan penyelesaiannya barisan contoh. Jika tidak bisa menemukan angka yang sama sebesar 0.05, carilah angka yang setidaknya mendekati angka 0.05. Karena z kritis < z uji, maka kita.
Source: fdokumen.com
Doc statistika ahmad zoqri academiaedu. Penggolongan uji z dan contoh penggunaan uji z 1. Tentukan kriteria pengujian bentuk keputusan menerima / menolak ho. Pdf bab xi pengujian hipotesis rata rata arif miboy. Contoh soal dan pembahasan tentang transformasi.
Source: slideshare.net
Hnaya saja uji z ditujukan untuk jumlah data yang relatif besar (> 10). Uji f dapat dilakukan dengan membandingkan f hitung dengan tabel f: 1 sample t test (pengujian t satu sampel) P > po kriteria pengujiannya : Ho ditolak jika zo > z formulasi hipotesis :
Source: slideshare.net
Z adalah salah satu uji statistika yang pengujian hipotesisnya didekati dengan distribusi normal. Menentukan taraf nyata α 5 005 probabilitas 05 005 045 z. Pengujian hipotesis dibagi menjadi dua yaitu parametrik dan non parametrik. P > po kriteria pengujiannya : Pengujian hipotesis proporsi 1 sampel ppt download.
Source: slideshare.net
Kedua uji statistik ini bisa dilakukan dengan spss. Sebagai contoh , kita akan menggunakan data pada bab yang digunakan pada uji t satu sampel dengan jumlah data yang lebih besar. Ho ditolak jika zo > z formulasi hipotesis : Uji f dan uji t. What uji z adalah pengujian hipotesis menggunakan distribusi z yang formula uji z :
Source: fdokumen.com
Nilai z yang dicari yaitu 1.6 + 0.045 = 1.645. Penggolongan uji z dan contoh penggunaan uji z 1. Contoh soal uji t 2 sampel berpasangan contoh soal terbaru. Uji t 2 sampel bebas : Jika tidak bisa menemukan angka yang sama sebesar 0.05, carilah angka yang setidaknya mendekati angka 0.05.
Source: wulantugasdoc.blogspot.com
Dalam istilah sederhana, hipotesis merujuk pada anggapan yang harus diterima atau ditolak. Nilai z score dalam uji normalitas. Uji f dapat dilakukan dengan membandingkan f hitung dengan tabel f: Karena z kritis < z uji, maka kita. Menurut teori limit terpusat, data dengan ukuran sampel yan.
Source: slideshare.net
Uji z adalah salah satu uji statistika yang pengujian hipotesisnya didekati dengan distribusi. Informasi mengenai contoh soal uji z dan penyelesaiannya. Uji hipotesis uji dua proporsi uji z 10 6. Pada dasarnya uji z adalah sama dengan uji t. Oleh karena itu, uji z dapat digunakan utuk menguji data yang.
Source: teamhannamy.blogspot.com
Oleh karena itu, uji z dapat digunakan utuk menguji data yang. Menghitung nilai statistik uji z hitung 4 tentukan letak z. Doc statistika ahmad zoqri academiaedu. Contoh soal uji t 2 sampel berpasangan contoh soal terbaru. Sedangkan untuk data berbentuk diskrit (hasil menghitung) dengan ciri bilangannya selalu bulat misalnya 1 pasien, 2 pasien, dst, menggunakan uji binomial, poisson, dsb.
Source: slideshare.net
What uji z adalah pengujian hipotesis menggunakan distribusi z yang formula uji z : 1 sample t test (pengujian t satu sampel) What uji z adalah pengujian hipotesis menggunakan distribusi z yang formula uji z : Uji f dapat dilakukan dengan membandingkan f hitung dengan tabel f: Penggolongan uji z dan contoh penggunaan uji z 1.
This site is an open community for users to do submittion their favorite wallpapers on the internet, all images or pictures in this website are for personal wallpaper use only, it is stricly prohibited to use this wallpaper for commercial purposes, if you are the author and find this image is shared without your permission, please kindly raise a DMCA report to Us.
If you find this site serviceableness, please support us by sharing this posts to your own social media accounts like Facebook, Instagram and so on or you can also bookmark this blog page with the title uji z by using Ctrl + D for devices a laptop with a Windows operating system or Command + D for laptops with an Apple operating system. If you use a smartphone, you can also use the drawer menu of the browser you are using. Whether it’s a Windows, Mac, iOS or Android operating system, you will still be able to bookmark this website.



